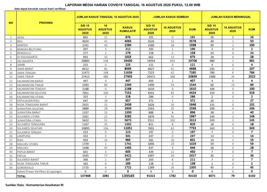
(Vibizmedia – Nasional) Berikut adalah update angka akumulatif jumlah kasus yang telah dinyatakan sembuh total dari Covid-19 dari seluruh Indonesia hingga tanggal 16 Agustus 2020.
Sedangkan jumlah pasien yang dinyatakan sudah sembuh dan diijinkan pulang terus bertambah dan semakin banyak , dari total 91.321 orang yang diberitakan kemarin, bertambah 1.782 orang menjadi 93.103 orang. Maka bagi yang telah dinyatakan sembuh ada kenaikan, jika kemarin bertambah 1.703 orang, hari ini bertambah 1.782 orang.
Angka total 93.103 menunjukkan bahwa jumlah kasus sembuh lebih dari setengah keseluruhan total kasus positif , yaitu sejumlah 66,71 % jika dibandingkan kasus positif akumulatif yang sejumlah 139.549. Suatu jumlah angka yang menggembirakan, naik dibanding kemarin prosentasenya sejumlah 66,43 %.
Beberapa provinsi yang melaporkan cukup banyak kasus yang sembuh yaitu DKI Jakarta (654), Jawa Timur (368), Sumatera Utara (102), Sulawesi Utara (91), Kalimantan Selatan (83), Jawa Tengah (62), Sulawesi Selatan (62), Jawa Barat (41).
Berikut adalah data COVID-19 di seluruh provinsi pada tanggal 16 Agustus 2020:










