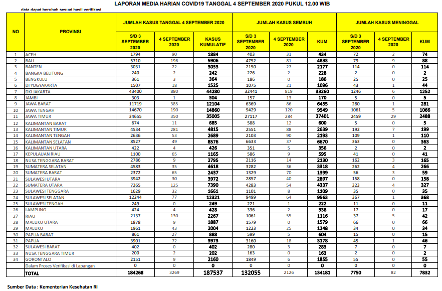
(Vibizmedia – Nasional) Berikut adalah update angka akumulatif jumlah kasus yang telah dinyatakan sembuh total dari Covid-19 dari seluruh Indonesia hingga tanggal 4 September 2020.
Sedangkan jumlah pasien yang dinyatakan sudah sembuh dan diijinkan pulang terus bertambah dan semakin banyak , dari total 132.055 orang yang diberitakan kemarin, bertambah 2.126 orang menjadi 134.181 orang. Maka bagi yang telah dinyatakan sembuh, jika kemarin bertambah 2.084 orang, hari ini bertambah 2.126 orang.
Angka total 134.181 menunjukkan bahwa persentase jumlah kasus sembuh semakin meningkat, yaitu sejumlah 71,54 % jika dibandingkan kasus positif akumulatif sejumlah 187.537.
Beberapa provinsi yang melaporkan cukup banyak kasus yang sembuh yaitu DKI Jakarta (819), Jawa Timur (284), Jawa Tengah (120), Kalimantan Tengah 90), Kalimantan Timur (88), Jawa Barat (86), Bali (81), Sumatera Barat (70), Sulawesi Selatan (64), Sumatera Utara (54).
Berikut adalah data COVID-19 di seluruh provinsi pada tanggal 4 September 2020:










