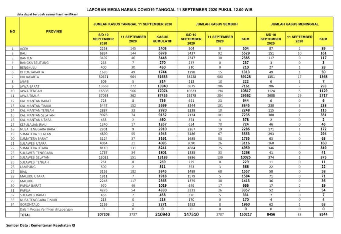
(Vibizmedia – Nasional) Berikut adalah update angka akumulatif jumlah kasus yang telah dinyatakan sembuh total dari Covid-19 dari seluruh Indonesia hingga tanggal 11 September 2020.
Sedangkan jumlah pasien yang dinyatakan sudah sembuh dan diijinkan pulang terus bertambah semakin banyak, dari total 147.510 orang yang diberitakan kemarin, bertambah 2.707 orang menjadi 150.217 orang. Maka bagi yang telah dinyatakan sembuh, jika kemarin bertambah 2.310 orang, hari ini bertambah 2.707 orang.
Angka total 150.217 menunjukkan bahwa persentase jumlah kasus sembuh semakin meningkat, yaitu sejumlah 71,21 % jika dibandingkan kasus positif akumulatif sejumlah 210.940.
Beberapa provinsi yang melaporkan cukup banyak kasus yang sembuh yaitu DKI Jakarta (900), Jawa Barat (286), Jawa Timur (284), Jawa Tengah (194), Sulawesi Selatan (139), Kalimantan Timur (101), Kalimantan Selatan (101), Bali (92), Sumatera Utara (75), Kepulauan Riau (70), Riau (68), Sumatera Selatan (67) , Sumatera Barat (50).
Berikut adalah data COVID-19 di seluruh provinsi pada tanggal 11 September 2020:










