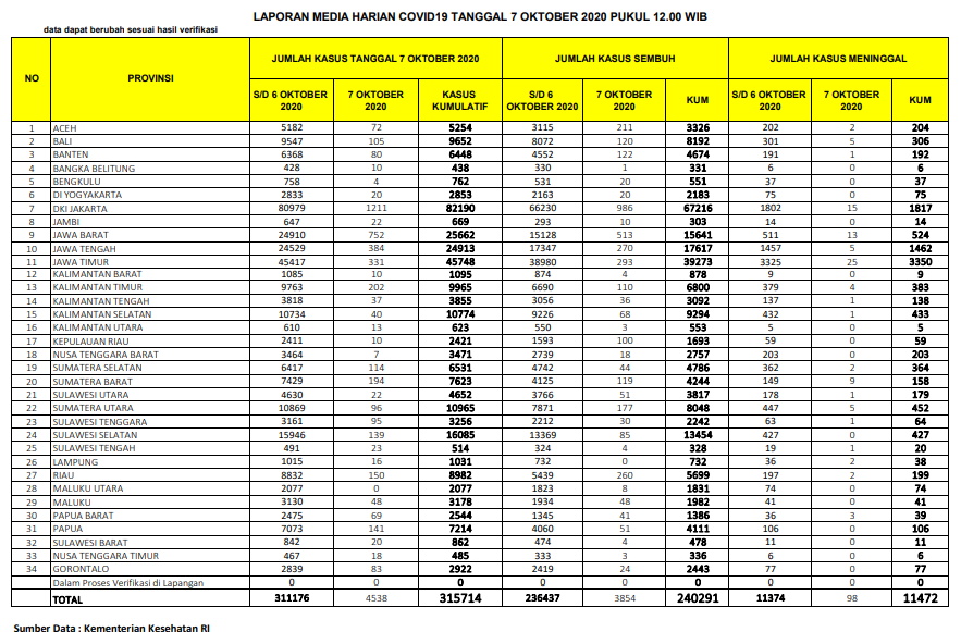
(Vibizmedia – Nasional) Berikut adalah update angka akumulatif jumlah kasus yang telah dinyatakan sembuh total dari Covid-19 dari seluruh Indonesia hingga tanggal 7 Oktober 2020.
Sedangkan jumlah pasien yang dinyatakan sudah sembuh dan diijinkan pulang terus bertambah dan semakin banyak , dari total 236.437 orang yang diberitakan kemarin, bertambah 3.854 orang menjadi 240.291 orang. Maka bagi yang telah dinyatakan sembuh, jika kemarin bertambah 3.844 orang, hari ini bertambah 3.854 orang.
Angka total 240.291 menunjukkan bahwa persentase jumlah kasus sembuh semakin meningkat, yaitu sejumlah 76,11 % jika dibandingkan kasus positif akumulatif sejumlah 315.714.
Beberapa provinsi yang melaporkan cukup banyak kasus yang sembuh yaitu: DKI Jakarta (986), Jawa Barat (513), Jawa Timur (293), Jawa Tengah (270), Riau (260), Aceh (211), Sumatera Utara (177), Banten (122), Bali (120), Sumatera Barat (119), Kalimantan Timur (110), Kepulauan Riau (100), Sulawesi Selatan (85), Kalimantan Selatan (68), Sulawesi Utara (51), Maluku (48), Sumatera Selatan (44).
Breaking News Covid-19 di Indonesia 7 Oktober 2020: Bertambah 4.538 Total Positif Kini 315.714
Berikut adalah data COVID-19 di seluruh provinsi pada tanggal 7 Oktober 2020:










