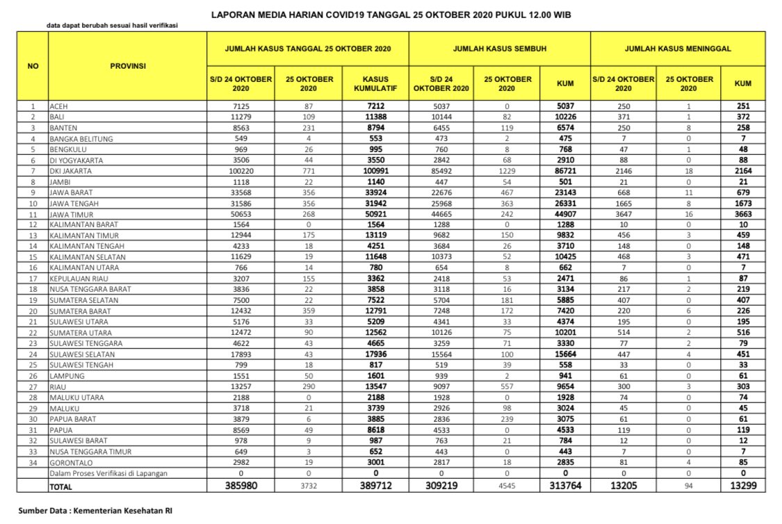
(Vibizmedia – Nasional) Berikut adalah update angka akumulatif jumlah kasus yang telah dinyatakan sembuh total dari Covid-19 dari seluruh Indonesia hingga tanggal 25 Oktober 2020.
Sedangkan jumlah pasien yang dinyatakan sudah sembuh dan diijinkan pulang terus bertambah dan semakin banyak, dari total 309.219 orang yang diberitakan kemarin, bertambah 4.545 orang menjadi 313.764 orang. Maka bagi yang telah dinyatakan sembuh, jika kemarin bertambah 4.119 orang, hari ini bertambah 4.545 orang.
Angka total 313.764 menunjukkan bahwa persentase jumlah kasus sembuh semakin meningkat, yaitu sejumlah 80,51% jika dibandingkan kasus positif akumulatif sejumlah 389.712.
Beberapa provinsi yang melaporkan cukup banyak kasus yang sembuh yaitu: DKI Jakarta (1229), Riau (557), Jawa Barat (467), Jawa Tengah (363), Jawa Timur (242), Papua Barat (239), Sumatera Selatan (181), Sumatera Barat (172), Kalimantan Timur (150), Banten (119), Sulawesi Selatan (100), Maluku (98), Bali (82), Sumatera Utara (75), Sulawesi Tenggara (71), DI Yogyakarta (68), Jambi (54), Kepulauan Riau (53), Kalimantan Selatan (52).
Breaking News Covid-19 di Indonesia 25 Oktober 2020: Bertambah 3.732 Total Positif Kini 385.980
Berikut adalah data COVID-19 di seluruh provinsi pada tanggal 25 Oktober 2020:










