Makin Meningkat Kasus Sembuh COVID-19 di Indonesia 30 November 2020: Persentasenya Capai 83,60%

0
772

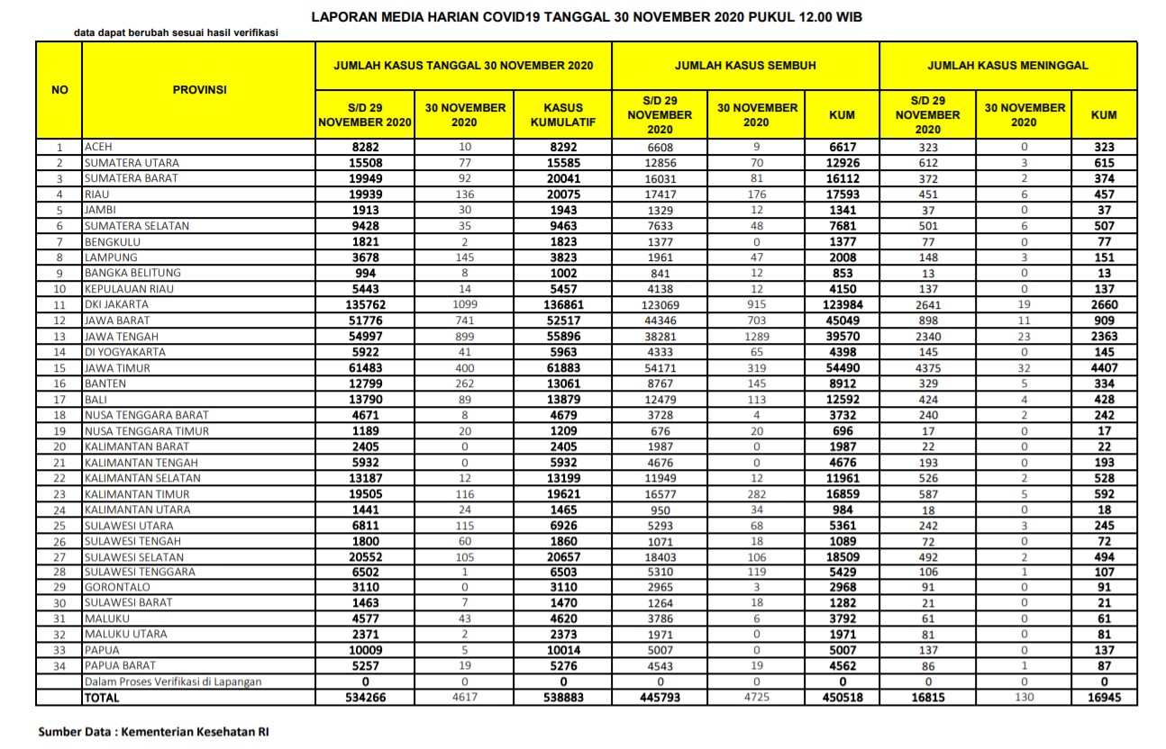
(Vibizmedia – Nasional)  Berikut adalah update angka akumulatif jumlah  kasus yang telah dinyatakan sembuh total dari Covid-19 dari seluruh Indonesia hingga tanggal 30 November 2020.

Sedangkan jumlah pasien yang dinyatakan sudah sembuh dan diijinkan pulang terus bertambah dan semakin banyak, dari total 445.793 orang yang diberitakan kemarin, bertambah 4.725 orang menjadi   450.518 orang. Maka bagi yang telah dinyatakan sembuh, jika kemarin bertambah 3.810 orang, hari ini  bertambah 4.725 orang.

Angka total 450.518 menunjukkan bahwa persentase jumlah kasus sembuh cukup tinggi dan makin meningkat,  yaitu  sejumlah 83,60% jika dibandingkan kasus positif akumulatif sejumlah 538.883.

Beberapa provinsi yang melaporkan cukup banyak kasus yang sembuh yaitu: Jawa Tengah (1289), DKI Jakarta (915),  Jawa Barat (703),   Jawa Timur (319), Kalimantan Timur (282),  Banten (145), Sulawesi Tenggara (119), Bali (113), Sulawesi Selatan (106), Sumatera Barat (81), Sumatera Utara (70), Sulawesi Utara (68), DI Yogyakarta (65),  Sumatera Selatan (48), Lampung (47).

Breaking News Covid-19 di Indonesia 30 November 2020: Bertambah 4.617 Total Positif 538.883

Berikut adalah data COVID-19 di seluruh provinsi pada tanggal 30 November 2020:

LEAVE A REPLY

Please enter your comment!
Please enter your name here