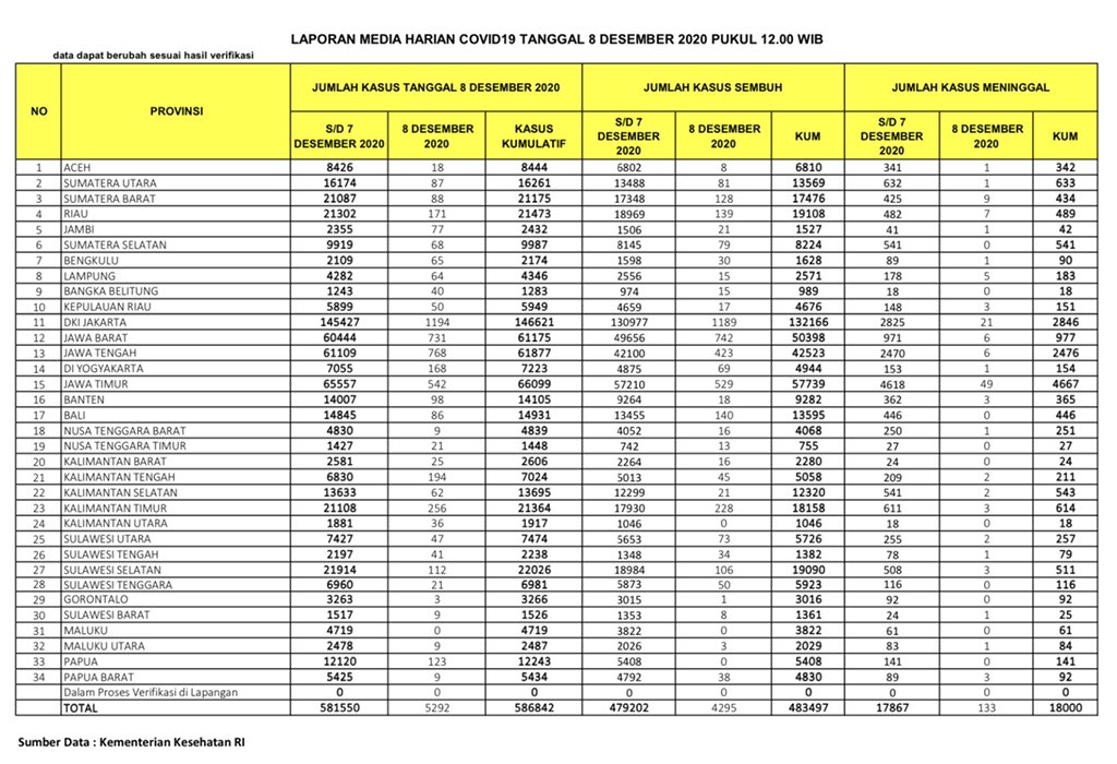
(Vibizmedia – Nasional) Berikut adalah update angka akumulatif jumlah kasus yang telah dinyatakan sembuh total dari Covid-19 dari seluruh Indonesia hingga tanggal 8 Desember 2020.
Jumlah pasien yang dinyatakan sudah sembuh dan diijinkan pulang terus bertambah dan semakin banyak, dari total 479.202 orang yang diberitakan kemarin, bertambah 4.295 orang menjadi 483.497 orang. Maka bagi yang telah dinyatakan sembuh, jika kemarin bertambah 4.431 orang, hari ini bertambah 4.295 orang.
Angka total 483.497 menunjukkan bahwa persentase jumlah kasus sembuh cukup tinggi dan makin meningkat, yaitu sejumlah 82,38% jika dibandingkan kasus positif akumulatif sejumlah 586.842.
Beberapa provinsi yang melaporkan cukup banyak kasus yang sembuh yaitu: DKI Jakarta (1.189), Jawa Barat (742), Jawa Timur (529), Jawa Tengah (423), Kalimantan Timur (228), Bali (140), Riau (139), Sumatera Barat (128), Sulawesi Selatan (106), Sumatera Utara (81), Sumatera Selatan (79), DI Yogyakarta (69), Sulawesi Tenggara (50), Kalimantan Tengah (45).
Breaking News Covid-19 di Indonesia 8 Desember 2020: Bertambah 5.292 Total Positif 586.842
Berikut adalah data COVID-19 di seluruh provinsi pada tanggal 8 Desember 2020:










