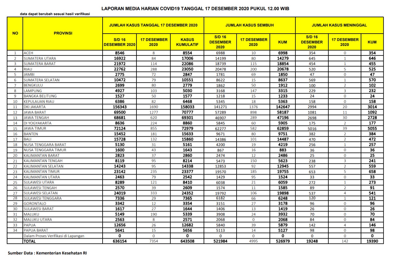
(Vibizmedia – Nasional) Berikut adalah update angka akumulatif jumlah kasus yang telah dinyatakan sembuh total dari Covid-19 dari seluruh Indonesia hingga tanggal 17 Desember 2020.
Jumlah pasien yang dinyatakan sudah sembuh dan diijinkan pulang terus bertambah dan semakin banyak, dari total 521.984 orang yang diberitakan kemarin, bertambah 4.995 orang menjadi 526.979 orang. Maka bagi yang telah dinyatakan sembuh, jika kemarin bertambah 5.328 orang, hari ini bertambah 4.995 orang.
Angka total 526.979 menunjukkan bahwa persentase jumlah kasus sembuh cukup tinggi dan makin meningkat, yaitu sejumlah 81,89% jika dibandingkan kasus positif akumulatif sejumlah 643.508.
Beberapa provinsi yang melaporkan cukup banyak kasus yang sembuh yaitu: DKI Jakarta (1.376), Jawa Barat (898), Jawa Timur (582), Jawa Tengah (289), Riau (200), Kalimantan Timur (185), Kalimantan Tengah (150), Lampung (147), Sumatera Barat (115), Sulawesi Selatan (106), Bali (101), Kalimantan Utara (95), Kalimantan Selatan (92), Sumatera Utara (80), Banten (80), Jambi (69), Sulawesi Tenggara (66), DI Yogyakarta (60), Bengkulu (50).
Breaking News Covid-19 di Indonesia 17 Desember 2020: Bertambah 7.354 Total Positif 643.508
Berikut adalah data COVID-19 di seluruh provinsi pada tanggal 17 Desember 2020:









