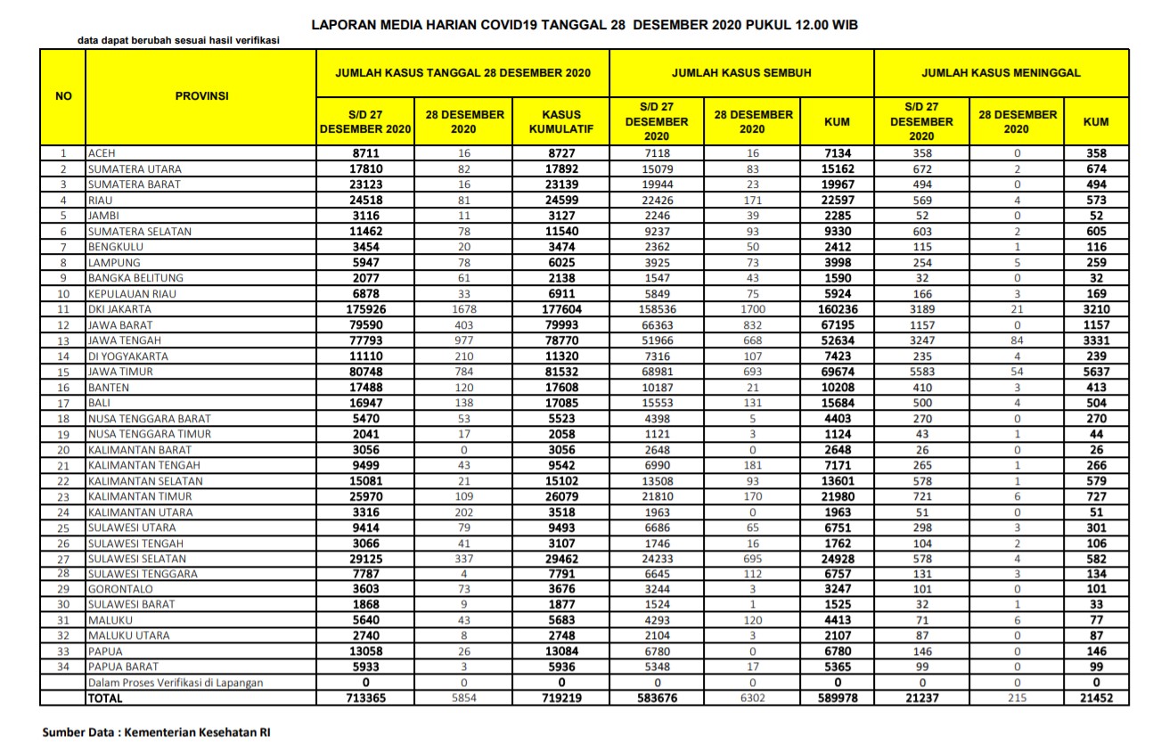
(Vibizmedia – Nasional) Berikut adalah update angka akumulatif jumlah kasus yang telah dinyatakan sembuh total dari Covid-19 dari seluruh Indonesia hingga tanggal 28 Desember 2020.
Jumlah pasien yang dinyatakan sudah sembuh dan diijinkan pulang terus bertambah dan semakin banyak, dari total 583.676 orang yang diberitakan kemarin, bertambah 6.302 orang menjadi 589.978 orang. Maka bagi yang telah dinyatakan sembuh, jika kemarin bertambah 6.983 orang, hari ini bertambah 6.302 orang.
Angka total 589.978 menunjukkan bahwa persentase jumlah kasus sembuh cukup tinggi dan makin meningkat, yaitu sejumlah 82,03% jika dibandingkan kasus positif akumulatif sejumlah 719.219 .
Beberapa provinsi yang melaporkan cukup banyak kasus yang sembuh yaitu: DKI Jakarta (1.700), Jawa Barat (832), Sulawesi Selatan (695), Jawa Timur (693), Jawa Tengah (668), Kalimantan Tengah (181), Riau (171), Kalimantan Timur (170), Bali (131), Maluku (120), Sulawesi Tenggara (112), DI Yogyakarta (107), Sumatera Selatan (93), Sumatera Utara (83), Kepulauan Riau (75), Lampung (73), Sulawesi Utara (65), Bengkulu (50), Bangka Belitung (43).
Breaking News Covid-19 di Indonesia 28 Desember 2020: Bertambah 5.854 Total Positif 719.219
Berikut adalah data COVID-19 di seluruh provinsi pada tanggal 28 Desember 2020:










