(Vibizmedia – Nasional) Berikut adalah angka akumulatif perkembangan data kasus Covid-19 dari seluruh Indonesia hingga tanggal 24 Januari 2021.
Kasus Positif Kembali Menurun
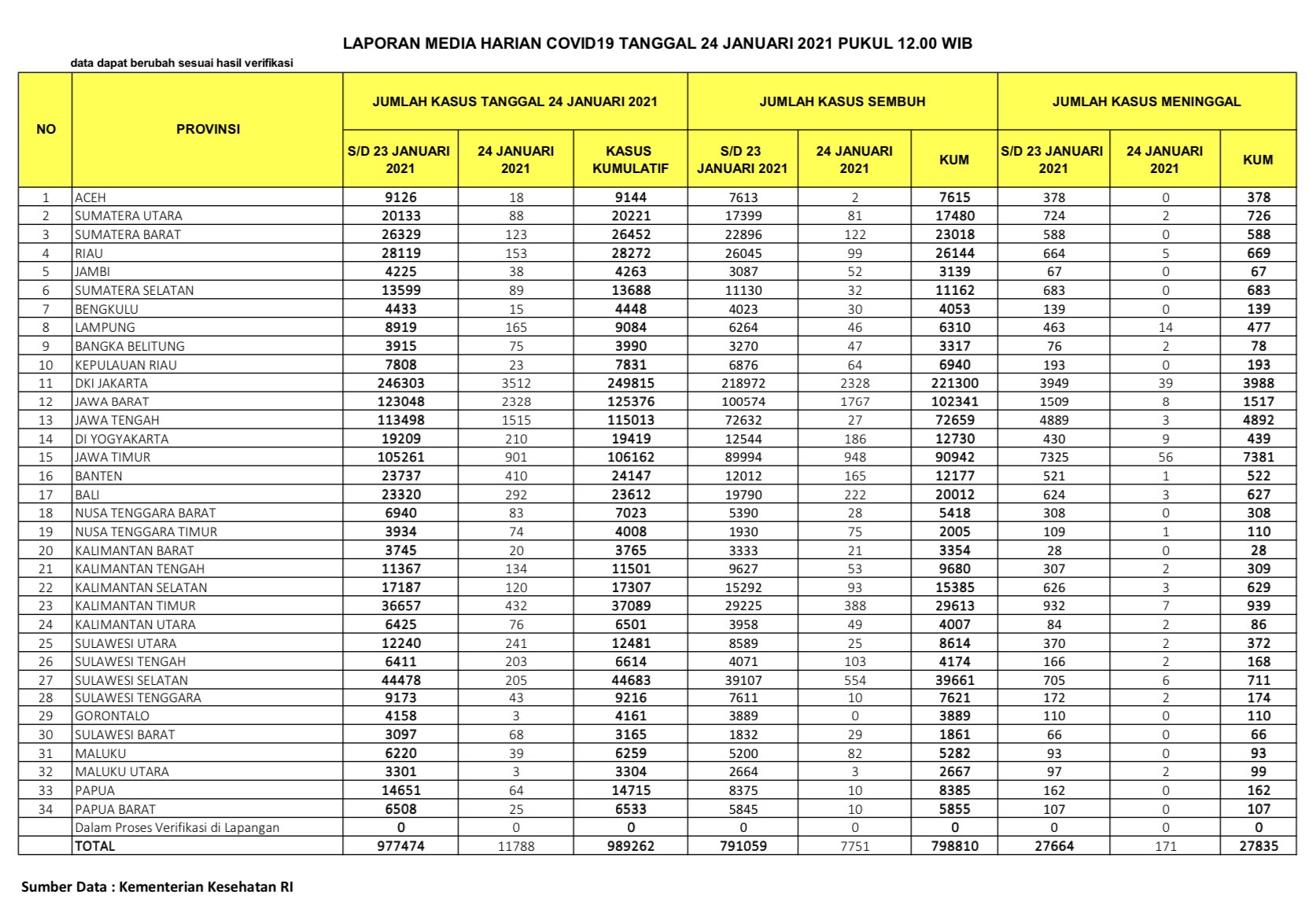
Dari total kasus positif kemarin sejumlah 977.474, maka hari ini kasus positif terinfeksi COVID-19 bertambah sebanyak 11.788 kasus sehingga total akumulatif menjadi sejumlah 989.262 kasus positif. Telah terjadi penurunan dalam pertambahan kasus dari sejumlah 12.191 kasus kemarin menjadi 11.788 kasus. Dengan demikian selama 2 hari berturut-turut terus terjadi penurunan kasus positif.
Angka pertambahan kasus positif tertinggi adalah DKI Jakarta (3.512), Jawa Barat (2.328), Jawa Tengah (1.515), Jawa Timur (901).
Berikut rincian kasus positif per provinsi per tanggal 24 Januari 2021:
– DKI Jakarta 3.512
– Jabar 2.328
– Jateng 1.515
– Jatim 901
– Kaltim 432
– Banten 410
– Bali 292
– Sulut 241
– DIY 210
– Sulsel 205
– Sulteng 203
– Lampung 165
– Riau 153
– Kalteng 134
– Sumbar 123
– Kalsel 120
– Sumsel 89
– Sumut 88
– NTB 83
– Kaltara 76
– Babel 75
– NTT 74
– Sulbar 68
– Papua 64
– Sultra 43
– Maluku 39
– Jambi 38
– Papbar 25
– Kepri 23
– Kalbar 20
– Aceh 18
– Bengkulu 15
– Gorontalo 3
– Malut 3
Terdaftar provinsi yang tingkat penambahannya di bawah 10 kasus positif ada 2 provinsi : Gorontalo, Maluku Utara
Daftar provinsi yang tercatat tidak ada penambahan pasien terkonfirmasi positif Covid-19 : TIDAK ADA
Kasus Sembuh dan Persentase Kesembuhan Cukup Tinggi
Dari total 791.059 orang yang diberitakan kemarin, jumlah pasien yang dinyatakan sudah sembuh dan diijinkan pulang bertambah 7.751 orang menjadi total sejumlah 798.810 Jika kemarin bertambah 9.912 orang, maka hari ini menjadi 7.751 orang.
Persentase jumlah kasus sembuh menjadi 80,75% jika dibandingkan kasus positif akumulatif sejumlah 989.262.
Angka kesembuhan tertinggi adalah DKI Jakarta (2.328), Jawa Barat (1.767), Jawa Timur (948) dan Sulawesi Selatan (554) .
Kasus Meninggal Terus Menurun
Untuk pertambahan kasus meninggal, jika kemarin sejumlah 27.664 orang, maka hari ini bertambah sebanyak 171 orang menjadi 27.835 orang. Dengan demikian telah terjadi penurunan, jika kemarin tercatat 211 orang maka jumlah meninggal pada hari ini tercatat 171 orang. Dua hari berturut-turut terjadi penurunan kasus meninggal.
Kasus Aktif Masih Meningkat
Pada tanggal 24 Januari 2021 kasus aktif menjadi sejumlah 162.617 ( (bertambah 3.865) dibandingkan kemarin sejumlah 158.751 (bertambah 2.068). Sedangkan jumlah kasus suspek sejumlah 80.114 adalah penurunan dibanding kemarin sejumlah 83.190. Selain itu ada 48.002 spesimen, yang adalah penurunan karena kemarin sejumlah 68.343 spesimen.
Akumulasi data tersebut diambil dari hasil uji spesimen sebanyak 8.754.507 spesimen yang dilakukan menggunakan metode Polymerase Chain Reaction (PCR) dan TCM (Test Cepat Molekuler) dari sejumlah 5.848.960 orang yang ditest.
Positivity Rate Meningkat
Positive rate adalah jumlah hasil pemeriksaan yang dinyatakan positif dibagi keseluruhan jumlah total pemeriksaan. Secara harian maka ada penambahan orang yang ditest sejumlah 35.456 dengan 33,25% positive rate jika dibandingkan kemarin sejumlah 42.987 dengan 28,36% positive rate.
Rata-rata Harian dalam 7 Hari Terakhir
Sementara itu rata-rata harian dalam 7 hari terakhir adalah sebagai berikut: Jumlah spesimen 62.667 dibanding kemarin sejumlah 62.401 sedangkan jumlah orang yang diperiksa 41.933 dibanding kemarin sejumlah 41.778. Sedangkan kasus positif sejumlah 11.619 (tingkat positivitas 27,71%) dibanding kemarin 11.547 (tingkat positivitas 27,64%). Positive rate keseluruhan 16,91% (989.262 kasus / 5.848.960 orang yang diperiksa) dibandingkan kemarin 16,81% (977.474 kasus / 5.813.504 orang yang diperiksa).
Data tersebut diambil dari 34 provinsi. Hingga saat ini seluruh provinsi sudah terdampak Covid-19.
Berikut adalah data COVID-19 di seluruh provinsi pada tanggal 24 Januari 2021:










