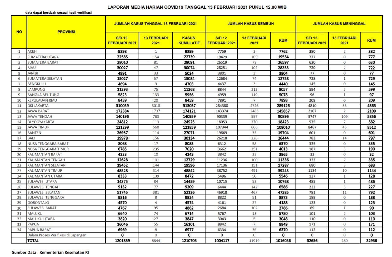
(Vibizmedia – Nasional) Berikut adalah angka akumulatif perkembangan data kasus Covid-19 dari seluruh Indonesia hingga tanggal 13 Februari 2021.
Penambahan Kasus Positif Menurun
Kemarin total kasus positif dilaporkan sejumlah 1.201.859 kasus. Hari ini kasus positif terinfeksi COVID-19 dilaporkan bertambah sebanyak 8.844 kasus. Sehingga total akumulatif menjadi sejumlah 1.210.703 kasus positif. Dengan demikian telah terjadi penurunan kasus dari sejumlah 9.869 kasus kemarin menjadi 8.844 kasus.
Angka pertambahan kasus positif tertinggi adalah DKI Jakarta (3.018), Jawa Barat (1.737), Jawa Tengah (763), Jawa Timur (560), Sulawesi Selatan (381), Kalimantan Timur (314).
DKI Jakarta masih menempati yang tertinggi dan sudah menurun dibandingkan kemarin sebesar 3.810 kasus baru, disusul dengan Jawa Barat yang meningkat tinggi dari kemarin sebesar 683. Kemudian Jawa Tengah, Jawa Timur, Sulawesi Selatan dan Kalimantan Timur.
Berikut rincian kasus positif per provinsi per tanggal 13 Februari 2021:
– DKI Jakarta 3.018
– Jabar 1.737
– Jateng 763
– Jatim 560
– Sulsel 381
– Kaltim 314
– NTT 235
– Bali 156
– Sumut 154
– Kalsel 144
– Kaltara 139
– Babel 133
– Banten 114
– DIY 113
– Kalteng 101
– Sulbar 95
– Sulut 84
– Sumbar 81
– Sulteng 77
– Lampung 75
– Maluku 74
– Sumsel 57
– Papua 55
– Riau 47
– Jambi 33
– Malut 27
– Kepri 20
– NTB 17
– Kalbar 10
– Bengkulu 9
– Sultra 8
– Papbar 8
– Gorontalo 4
– Aceh 1
Terdaftar provinsi yang tingkat penambahannya di bawah 10 kasus positif ada 5 provinsi : Bengkulu, Sulawesi Tenggara, Papua Barat, Gorontalo, Aceh
Daftar provinsi yang tercatat tidak ada penambahan pasien terkonfirmasi positif Covid-19 : TIDAK ADA
6 Hari Berturut-turut Kasus Sembuh Melampaui Kasus Positif
Jumlah kasus sembuh kemarin adalah 1.004.117 orang dan hari ini dilaporkan bertambah 11.919 orang, sehingga total yang dinyatakan sembuh menjadi sejumlah 1.016.036. Jika kemarin dilaporkan bertambah 11.000 orang, maka hari ini meningkat pertambahannya meningkat menjadi 11.919 kasus sembuh.
Kita juga perlu tahu bahwa pada tanggal 8 Februari 2021 ada sejumlah 13.038 kasus sembuh yang melampaui penambahan kasus positif sejumlah 8.242. Demikian juga pada tanggal 9 Februari sejumlah 10.424 melampaui kasus positif sejumlah 8.700, pada tanggal 10 Februari kasus sembuh sejumlah 9.520 melampaui kasus positif sejumlah 8.776, begitu juga pada tanggal 11 Februari penambahan kasus sembuh 10.145 melampaui kasus positif sejumlah 8.435. Pada tanggal 12 Februari penambahan kasus sembuh 11.000 melampaui kasus positif sejumlah 9.869. Dan hari ini sejumlah 11.919 melampaui kasus positif sejumlah 8.844
Jadi dalam 6 hari berturut-turut penambahan kasus sembuh terus melewati penambahan kasus positif.
Selain itu, persentase jumlah kasus sembuh cukup tinggi yaitu sejumlah 83,92%, meningkat dibandingkan kemarin sebesar 83,55%. Hal ini didapat jika dibandingkan total kasus positif sejumlah 1.210.703.
Angka kesembuhan tertinggi adalah DKI Jakarta (4.746), Jawa Barat (2.483), Jawa Timur (666), Jawa Tengah (557).
Kasus Meninggal Meningkat
Untuk kasus meninggal, jika kemarin diberitakan ada sejumlah 32.656 orang, maka hari ini bertambah sebanyak 280 orang, sehingga total kasus meninggal menjadi 32.936 orang. Dengan demikian telah terjadi kenaikan, jika kemarin tercatat 275 orang kasus meninggal maka hari ini tercatat 280 orang.
7 Hari Berturut-turut Kasus Aktif Menurun
Hari ini padatanggal 13 Februari 2021 kasus aktif menjadi sejumlah 161.731 (turun sebesar 3.355)
Jika bisa dirincikan kembali, makapada tanggal 7 Februari sejumlah 176.291 (turun sebesar 142), tanggal 8 Februari sejumlah 171.288 (turun sebesar 5.003), tanggal 9 Februari sejumlah 169.251 (turun sebesar 2.037), tanggal 10 Februari sejumlah 168.416 (turun sebesar 835), dan pada tanggal 11 Februari 2021 sejumlah 166.492 (turun sebesar 1.924). Sedangkan pada tanggal 12 Februari kasus aktif sejumlah 165.086 (turun sebesar 1.406).
Dapat terlihat bahwa kasus aktif telah menurun selama 7 hari berturut-turut.
Sedangkan jumlah kasus suspek sejumlah 79.653 adalah kenaikan dibanding kemarin sejumlah 76.505. Selain itu ada 37.816 spesimen, yang adalah penurunan karena kemarin sejumlah 53.957 spesimen.
Akumulasi data tersebut diambil dari hasil uji spesimen sebanyak 10.025.524 spesimen yang dilakukan menggunakan metode Polymerase Chain Reaction (PCR) dan TCM (Test Cepat Molekuler) dari sejumlah 6.651.873 orang yang ditest.
Positivity Rate Meningkat
Positive rate adalah jumlah hasil pemeriksaan yang dinyatakan positif dibagi keseluruhan jumlah total pemeriksaan. Secara harian maka ada penambahan orang yang ditest sejumlah 24.889 dengan 35,53% positive rate jika dibandingkan kemarin sejumlah 35.404 dengan 27,88% positive rate.
Rata-rata Harian dalam 7 Hari Terakhir
Sementara itu rata-rata harian dalam 7 hari terakhir adalah sebagai berikut: Jumlah spesimen 54.524 dibanding kemarin sejumlah 58.432. Sedangkan jumlah orang yang diperiksa 33.884 dibanding kemarin sejumlah 37.200. Sedangkan kasus positif sejumlah 9.099 (tingkat positivitas 26,85%) dibanding kemarin 9.572 (tingkat positivitas 25,73%). Positive rate keseluruhan 18,2% (1.210.703 kasus / 6.651.873 orang yang diperiksa) dibandingkan kemarin 18,14% (1.201.859 kasus / 6.626.984 orang yang diperiksa).
Progress Harian Vaksinasi COVID-19
Berdasarkan laporan Kemenkes pada tanggal 13 Februari 2021 maka total sasaran vaksinasi secara keseluruhan adalah sejumlah 181.554.465.
Sedangkan jumlah sararan vaksinasi COVID-19 untuk Tenaga Kesehatan sejumlah 1.809.070, dibandingkan sebelumnya sejumlah 1.468.764.
Hingga hari ini vaksinasi tahap pertama telah dilaksanakan sejumlah : 1.060.326 (bertambah 43.140) dibandingkan sebelumnya sejumlah : 1.017.186 (bertambah 47.640). Cakupan Vaksinasi tahap 1 berarti sejumlah 72,19% dibandingkan sebelumnya 69,25%.
Sedangkan vaksinasi tahap kedua telah dilaksanakan sejumlah 415.486 (bertambah 69.881) dibandingkan sebelumnya sejumlah 345.605 (bertambah 66.354). Cakupan Vaksinasi tahap 2 berarti sejumlah 28,29% dibandingkan sebelumnya sejumlah 23,53%.
Data tersebut diambil dari 34 provinsi. Hingga saat ini seluruh provinsi sudah terdampak Covid-19.
Berikut adalah data COVID-19 di seluruh provinsi pada tanggal 13 Februari 2021:










