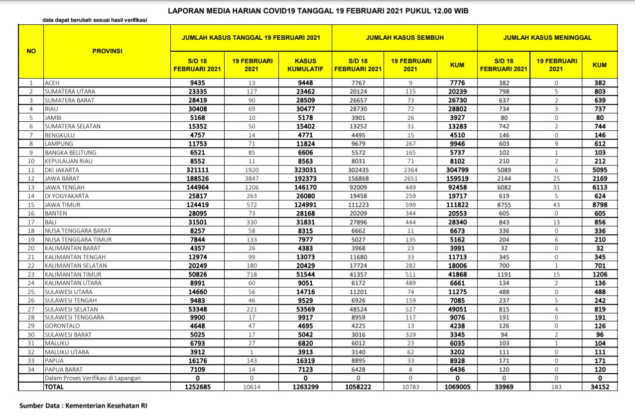
(Vibizmedia – Nasional) Berikut adalah angka akumulatif perkembangan data kasus Covid-19 dari seluruh Indonesia hingga tanggal 19 Februari 2021.
Penambahan Kasus Positif Meningkat
Total kasus positif dilaporkan kemarin sejumlah 1.252.685 kasus. Hari ini kasus positif terinfeksi COVID-19 dilaporkan bertambah sebanyak 10.614 kasus. Sehingga total akumulatif menjadi sejumlah 1.263.299 kasus positif. Dengan demikian telah terjadi kenaikan kasus dari sejumlah 9.039 kasus kemarin menjadi 10.614 kasus.
Angka pertambahan kasus positif tertinggi adalah Jawa Barat (3.847), DKI Jakarta (1.920), Jawa Tengah (1.206), Kalimantan Timur ( 718), Jawa Timur (572), Bali ( 330).
Jawa Barat masih menduduki yang tertinggi tetapi sudah ada penurunan dibandingkan kemarin sejumlah 4.420. Diikuti DKI Jakarta dan Jawa Tengah yang meningkat, lalu Kalimantan Timur dan Jawa Timur.
Berikut rincian kasus positif per provinsi per tanggal 19 Februari 2021:
– Jabar 3.847
– Jakarta 1.920
– Jateng 1.206
– Kaltim 718
– Jatim 572
– Bali 330
– DIY 263
– Sulsel 221
– Kalsel 180
– Papua 143
– NTT 133
– Sumut 127
– Kalteng 99
– Sumbar 90
– Babel 85
– Banten 73
– Lampung 71
– Riau 69
– Kaltara 60
– NTB 58
– Sulut 56
– Sumsel 50
– Gorontalo 47
– Sulteng 46
– Maluku 27
– Kalbar 26
– Sultra 17
– Sulbar 17
– Bengkulu 14
– Papbar 14
– Aceh 13
– Kepri 11
– Jambi 10
– Malut 1
Terdaftar provinsi yang tingkat penambahannya di bawah 10 kasus positif ada 1 provinsi : Maluku Utara
Daftar provinsi yang tercatat tidak ada penambahan pasien terkonfirmasi positif Covid-19: TIDAK ADA
Kasus Sembuh dan Persentase Sembuh Meningkat
Jumlah kasus sembuh kemarin adalah 1.058.222 orang dan hari ini dilaporkan bertambah 10.783 orang, sehingga total yang dinyatakan sembuh menjadi sejumlah 1.069.005. Jika kemarin dilaporkan bertambah 10.546 orang, maka hari ini meningkat menjadi 10.783 kasus sembuh.
Selain itu, persentase jumlah kasus sembuh cukup tinggi yaitu sejumlah 84,62% meningkat dibandingkan kemarin sebesar 84,48%. Hal ini didapat jika dibandingkan total kasus positif sejumlah 1.263.299.
Angka kesembuhan tertinggi adalah Jawa Barat (2.651), DKI Jakarta (2.364), Jawa Timur (599), Sulawesi Selatan (527), Kalimantan Utara (489), Jawa Tengah (449), Bali (444), Banten (344), Sulawesi Barat (329).
Kasus Meninggal Meningkat
Untuk kasus meninggal, jika kemarin diberitakan ada sejumlah 33.969 orang, maka hari ini bertambah sebanyak 183 orang, sehingga total kasus meninggal menjadi 34.152 orang. Dengan demikian telah terjadi kenaikan, jika kemarin tercatat 181 orang kasus meninggal maka hari ini tercatat 183 orang.
Kasus Aktif Menurun
Hari ini pada tanggal 19 Februari 2021 kasus aktif menjadi sejumlah 160.142 (turun sebesar 352) dibandingkan kemarin sejumlah 160.494 (turun sebesar 1.688). Dengan demikian sudah dua hari berturut-turut kasus aktif menurun.
Sedangkan jumlah kasus suspek sejumlah 80.504, dibandingkan kemarin sejumlah 82.444 suspek. Selain itu ada 88.821 spesimen dibandingkan kemarin sejumlah 24.248 spesimen.
Akumulasi data tersebut diambil dari hasil uji spesimen sebanyak 10.257.199 spesimen yang dilakukan menggunakan metode Polymerase Chain Reaction (PCR) dan TCM (Test Cepat Molekuler) dari sejumlah 6.839.040 (bertambah 71.814)orang yang ditest.
Progress Harian Vaksinasi COVID-19
Berdasarkan laporan Kemenkes pada tanggal 19 Februari 2021 maka total sasaran vaksinasi secara keseluruhan adalah sejumlah 181.554.465.
Sedangkan jumlah sasaran vaksinasi COVID-19 untuk Tenaga Kesehatan sejumlah 1.468.764.
Hingga hari ini vaksinasi tahap pertama telah dilaksanakan sejumlah 1.191.031 (bertambah 26.887) dibandingkan sebelumnya sejumlah 1.164.144 (bertambah 14.205). Cakupan Vaksinasi tahap 1 berarti sejumlah 81,09% dibandingkan sebelumnya 79,26%.
Sedangkan vaksinasi tahap kedua telah dilaksanakan sejumlah 668.914 (bertambah 45.082) dibandingkan sebelumnya sejumlah 623.832 (bertambah 26.504). Cakupan Vaksinasi tahap 2 berarti sejumlah 45,54% dibandingkan sebelumnya sejumlah 42,47% .
Data tersebut diambil dari 34 provinsi. Hingga saat ini seluruh provinsi sudah terdampak Covid-19.
Berikut adalah data COVID-19 di seluruh provinsi pada tanggal 19 Februari 2021:










