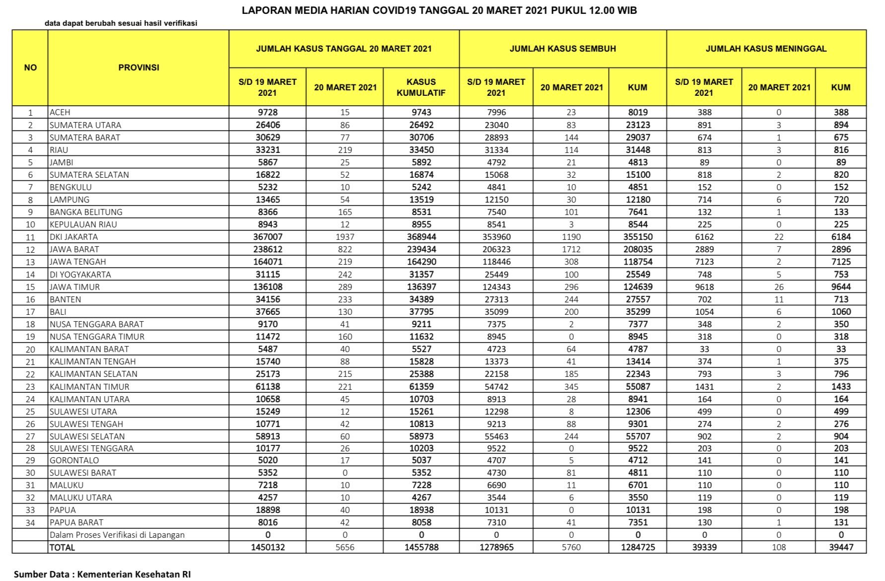
(Vibizmedia – Nasional) Berikut adalah angka akumulatif perkembangan data kasus Covid-19 dari seluruh Indonesia hingga tanggal 20 Maret 2021.
Penambahan Kasus Positif Menurun Kembali
Total kasus positif dilaporkan kemarin sejumlah 1.450.132 kasus. Hari ini kasus positif terinfeksi COVID-19 dilaporkan bertambah sebanyak 5.656 kasus. Sehingga total akumulatif menjadi sejumlah 1.455.788 kasus positif. Dengan demikian telah terjadi penurunan kasus dari sejumlah 6.279 kasus kemarin menjadi 5.656 kasus. Dengan demikian selama 3 harı berturut-turut penambahan kasus positif terus menurun.
Angka pertambahan kasus positif tertinggi adalah DKI Jakarta (1.937), Jawa Barat (822), Jawa Timur (289), DI Yogyakarta (242), Banten (233), Kalimantan Timur (221), Jawa Tengah (219), Riau (219), Kalimantan Selatan (215), Bangka Belitung (165), NTT (160), Bali (130).
Penambahan kasus positif tertinggi adalah DKI Jakarta, satu-satunya dengan penambahan di atas 1000. Diikuti oleh Jawa Barat, Jawa Timur, DI Yogyakarta, Banten, Kalimantan Timur, Jawa Tengah, Riau, Kalimantan Selatan, NTT, Bali.
Berikut rincian kasus positif per provinsi per tanggal 20 Maret 2021:
– DKI Jakarta 1.937
– Jabar 822
– Jatim 289
– DIY 242
– Banten 233
– Kaltim 221
– Jateng 219
– Riau 219
– Kalsel 215
– Babel 165
– NTT 160
– Bali 130
– Kalteng 88
– Sumut 86
– Sumbar 77
– Sulsel 60
– Lampung 54
– Sumsel 52
– Kaltara 45
– Sulteng 42
– Papbar 42
– NTB 41
– Kalbar 40
– Papua 40
– Sultra 26
– Jambi 25
– Gorontalo 17
– Aceh 15
– Kepri 12
– Sulut 12
– Bengkulu 10
– Maluku 10
– Malut 10
Terdaftar provinsi yang tingkat penambahannya di bawah 10 kasus positif ada 1 provinsi : Sulawesi Barat.
Daftar provinsi yang tercatat tidak ada penambahan pasien terkonfirmasi positif Covid-19 ada 1 provinsi : Sulawesi Barat
Persentase Sembuh Meningkat
Jumlah kasus sembuh kemarin adalah 1.278.965 orang dan hari ini dilaporkan bertambah 5.760 orang, sehingga total yang dinyatakan sembuh menjadi sejumlah 1.284.725. Jika kemarin dilaporkan bertambah 6.007, orang, maka hari ini sejumlah 5.760 kasus sembuh.
Selain itu persentase jumlah kasus sembuh cukup tinggi yaitu sejumlah 88,23%. Meningkat dibandingkan kemarin sebesar 88,20%. Hal ini didapat jika dibandingkan total kasus positif sejumlah 1.455.788
Angka kesembuhan tertinggi adalah Jawa Barat (1.712), DKI Jakarta (1.190), Kalimantan Timur (345), Jawa Tengah (308), Jawa Timur (296), Banten (244), Sulawesi Selatan (244), Bali (200), Kalimantan Selatan (185), Sumatera Barat (144), Riau (114), Bangka Belitung (101), DI Yogyakarta (100).
Kasus Meninggal Menurun
Untuk kasus meninggal, jika kemarin diberitakan ada sejumlah 39.339 orang, maka hari ini bertambah sebanyak 108 orang, sehingga total kasus meninggal menjadi 39.447 orang. Dengan demikian telah terjadi penurunan, jika kemarin tercatat 197 orang kasus meninggal maka hari ini tercatat 108 orang.
Kasus Aktif Menurun
Hari ini tanggal 20 Maret 2021 kasus aktif menjadi sebesar 131.616 (turun sebesar 212)
Dibandingkan kemarin tanggal 19 Maret 2021 kasus aktif sebesar 131. 828 (bertambah 75).
Jumlah kasus suspek sejumlah 58.236 dibandingkan kemarin sejumlah 59.564 suspek. Selain itu ada 69.700 spesimen dibandingkan kemarin sejumlah 73.460 spesimen.
Akumulasi data tersebut diambil dari hasil uji spesimen sebanyak 12.014.357 spesimen yang dilakukan menggunakan metode Polymerase Chain Reaction (PCR) dan TCM (Test Cepat Molekuler) dari sejumlah 8.012.722 orang yang ditest.
Positivity Rate Harian Menurun
Positive rate adalah jumlah hasil pemeriksaan yang dinyatakan positif dibagi keseluruhan jumlah total pemeriksaan. Secara harian maka ada penambahan orang yang ditest sejumlah 43.807 dengan 12,9% positive rate, dibandingkan kemarin sejumlah 45.963 dengan 13,66% positive rate.
Progress Harian Vaksinasi COVID-19
Berdasarkan laporan Kemenkes maka total sasaran vaksinasi secara keseluruhan adalah sejumlah 181.554.465.
Target sasaran vaksinasi saat ini sejumlah 40.349.051. Terdiri dari SDM Kesehatan sejumlah 1.468.764, Petugas Publik sejumlah 17.327.169 dan Lansia sejumlah 21.553.118.
Hingga hari ini vaksinasi tahap pertama telah dilaksanakan total sejumlah 5.124.948 (bertambah 165.885) dengan persentase 13,71%. Dibandingkan kemarin sejumlah 4.959.063 (bertambah 120.311) dengan persentase 12,70%.
Sedangkan vaksinasi tahap kedua telah dilaksanakan total sejumlah 2.221.200 (bertambah 152.800) dengan persentase 5,71%. Dibandingkan kemarin sejumlah 2.068.400 (bertambah 119.869) dengan persentase 5,50%.
Data tersebut diambil dari 34 provinsi. Hingga saat ini seluruh provinsi sudah terdampak Covid-19.
Berikut adalah data COVID-19 di seluruh provinsi pada tanggal 20 Maret 2021:










