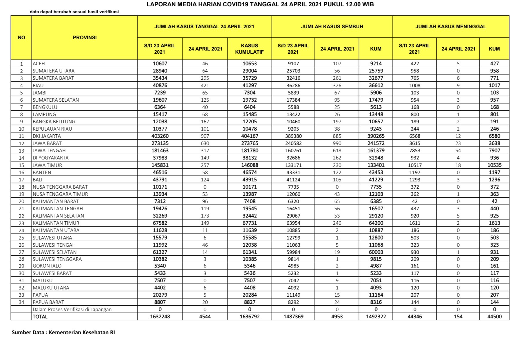
(Vibizmedia – Nasional) Berikut adalah angka akumulatif perkembangan data kasus Covid-19 dari seluruh Indonesia hingga tanggal 24 April 2021.
Penambahan Kasus Positif Menurun
Total kasus positif dilaporkan kemarin sejumlah 1.632.248 kasus. Hari ini kasus positif terinfeksi COVID-19 dilaporkan bertambah sebanyak 4.544 kasus. Sehingga total akumulatif menjadi sejumlah 1.636.792 kasus positif. Dengan demikian telah terjadi penurunan kasus dari sejumlah 5.436 kasus kemarin menjadi 4.544 kasus. Selama 2 hari berturut-turut terjadi penurunan kasus positif.
Dilaporkan pada hari ini bahwa tidak ada provinsi dengan penambahan di atas 1000. Penambahan tertinggi adalah DKI Jakarta (907), diikuti Jawa Barat (630), Riau (421), Jawa Tengah (317), Sumbar (295), Jawa Timur (257), Kalsel (173), Bangka Belitung (167), DIY (149), Kaltim (149), Sumatera Selatan (125), Bali (124), Kalimantan Tengah (119), Kepulauan Riau (101).
Berikut rincian kasus positif per provinsi per tanggal 24 April 2021:
– Jakarta 907
– Jabar 630
– Riau 421
– Jateng 317
– Sumbar 295
– Jatim 257
– Kalsel 173
– Babel 167
– DIY 149
– Kaltim 149
– Sumsel 125
– Bali 124
– Kalteng 119
– Kepri 101
– Kalbar 96
– Lampung 68
– Jambi 65
– Sumut 64
– Banten 58
– NTT 53
– Bengkulu 40
– Aceh 46
– Sulteng 46
– Papbar 20
– Sulsel 14
– Kaltara 11
– Sulut 6
– Gorontalo 6
– Malut 6
– Papua 5
– Sultra 3
– Sulbar 3
– NTB
– Maluku
Terdaftar provinsi yang tingkat penambahannya di bawah 10 kasus positif ada 8 provinsi : Sulawesi Utara, Gorontalo, Maluku Utara, Papua, Sulawesi Tenggara, Sulawesi Barat, Nusa Tenggara Barat, Maluku.
Daftar provinsi yang tercatat tidak ada penambahan pasien terkonfirmasi positif Covid-19 ada 2 provinsi: Nusa Tenggara Barat, Maluku
Persentase Sembuh Meningkat
Jumlah kasus sembuh kemarin adalah 1.487.369 orang dan hari ini dilaporkan bertambah 4.953 orang, sehingga total yang dinyatakan sembuh menjadi sejumlah 1.492.322. Jika kemarin dilaporkan bertambah 5.920 orang, maka hari ini sejumlah 4.953 kasus sembuh.
Selain itu persentase jumlah kasus sembuh cukup tinggi yaitu sejumlah 91,17%, meningkat dibandingkan kemarin sejumlah 91,12%.
Hal ini didapat jika dibandingkan total kasus positif sejumlah 1.636.792 .
Angka kesembuhan tertinggi adalah Jawa Barat (990), DKI Jakarta (885), Jawa Tengah (618), Riau (326), DI Yogyakarta (262), Kalimantan Timur (246),Jawa Timur (230), Bangka Belitung (197), Banten (122), Aceh (107), Bali (105).
Jumlah Kasus Meninggal Menurun
Untuk kasus meninggal, jika kemarin diberitakan ada sejumlah 44.346 orang, maka hari ini bertambah sebanyak 154 orang, sehingga total kasus meninggal menjadi 44.500 orang. Dengan demikian jika kemarin tercatat 174 orang kasus meninggal maka hari ini terjadi penurunan kasus menjadi sejumlah 154 orang kasus meninggal.
Kasus Aktif Kini di Bawah 100.000
Hari ini dilaporkan kasus aktif menurun kembali dan telah mencapai angka di bawah 100.000. Jadi kasus aktif pada tanggal 24 April 2021 dilaporkan sejumlah 99.970 (turun sebesar 563) dibandingkan kemarin pada tanggal 23 April 2021 menurun menjadi 100.533 (turun sebesar 658).
Jumlah kasus suspek sejumlah 66.377 dibanding kemarin sebesar 65.421 dan ada 67.751 spesimen dibanding kemarin sebesar 63.623 spesimen.
Akumulasi data tersebut diambil dari hasil uji spesimen sebanyak 14.221.892 spesimen yang dilakukan menggunakan metode Polymerase Chain Reaction (PCR) dan TCM (Test Cepat Molekuler).
Positivity Rate Harian Menurun
Positive rate adalah jumlah hasil pemeriksaan yang dinyatakan positif dibagi keseluruhan jumlah total pemeriksaan. Secara harian maka ada penambahan orang yang ditest sejumlah 42.263 dengan 10,8% positive rate, dibandingkan kemarin sejumlah 41.559 dengan 13,1% positive rate
Progress Harian Vaksinasi COVID-19
Berdasarkan laporan Kemenkes maka total sasaran vaksinasi secara keseluruhan adalah sejumlah 181.554.465.
Target sasaran vaksinasi saat ini sejumlah 40.349.051. Terdiri dari SDM Kesehatan sejumlah 1.468.764, Petugas Publik sejumlah 17.327.169 dan Lansia sejumlah 21.553.118.
Hingga hari ini vaksinasi tahap pertama telah dilaksanakan total sejumlah 11.699.585 dengan persentase 29,00% (update 24 April 2021 jam 12.00).
Sedangkan vaksinasi tahap kedua telah dilaksanakan total sejumlah 6.784.594 dengan persentase 16,81% (update 24 April 2021 jam 12.00).
Data tersebut diambil dari 34 provinsi. Hingga saat ini seluruh provinsi sudah terdampak Covid-19.
Berikut adalah data COVID-19 di seluruh provinsi pada tanggal 24 April 2021:










