Penambahan Kasus Positif Jawa Barat Tertinggi, Persentase Kesembuhan Meningkat, Update COVID-19 30 April 2021

0
558

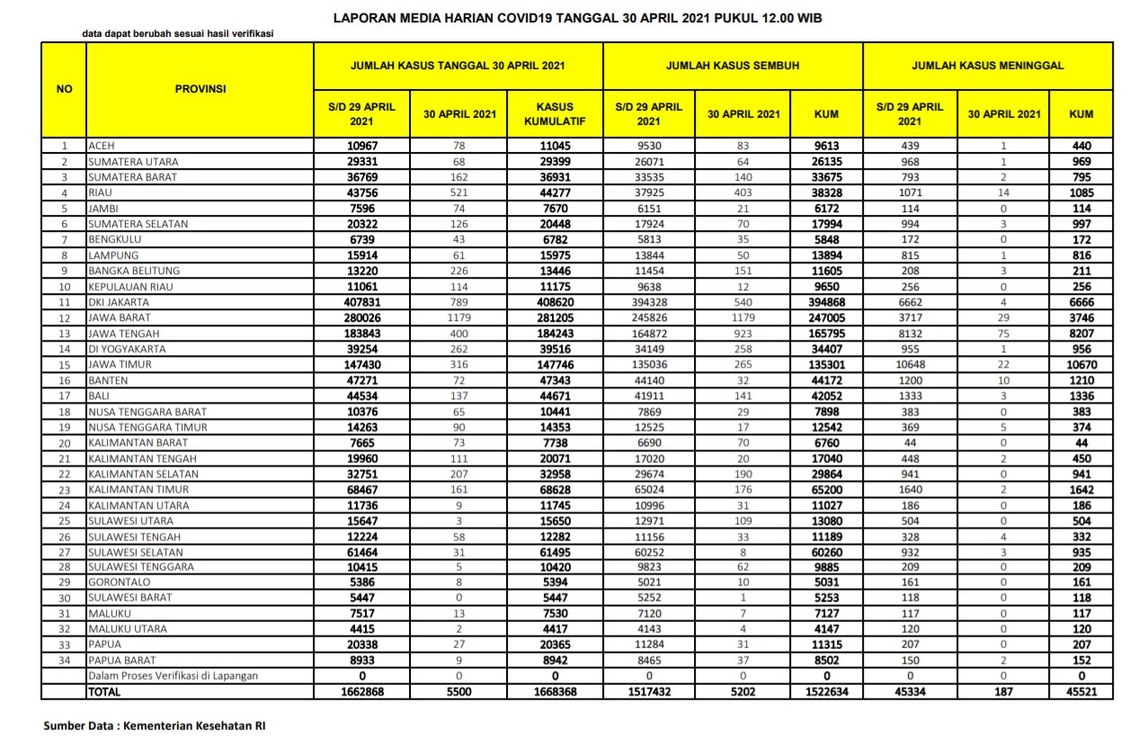
(Vibizmedia – Nasional) Berikut adalah angka akumulatif perkembangan data kasus Covid-19 dari seluruh Indonesia hingga tanggal 30 April 2021.

Penambahan Kasus Positif Menurun

Total kasus positif dilaporkan kemarin sejumlah 1.662.868 kasus. Hari ini kasus positif terinfeksi COVID-19 dilaporkan bertambah sebanyak 5.500 kasus. Sehingga total akumulatif menjadi sejumlah 1.668.368 kasus positif. Dengan demikian telah terjadi penurunan kasus dari sejumlah 5.883 kasus kemarin menjadi 5.500 kasus.

Penambahan tertinggi adalah Jawa Barat (1.179), satu-satunya provinsi dengan penambahan di atas 1.000. Diikuti dengan DKI Jakarta (789), Riau (521), Jawa Tengah (400), Jawa Timur (316), DIY (262), Bangka Belitung (226), Kalsel (207), Sumatera Barat (162), Kaltim (161), Bali (137), Sumsel (126), Kepulauan Riau (114), Kalteng (111).

Berikut rincian kasus positif per provinsi per tanggal 30 April 2021:

– Jabar 1.179
– Jakarta 789
– Riau 521
– Jateng 400
– Jatim 316
– DIY 262
– Babel 226
– Kalsel 207
– Sumbar 162
– Kaltim 161
– Bali 137
– Sumsel 126
– Kepri 114
– Kalteng 111
– NTT 90
– Aceh 78
– Jambi 74
– Kalbar 73
– Banten 72
– Sumut 68
– NTB 65
– Lampung 61
– Sulteng 58
– Bengkulu 43
– Sulsel 31
– Papua 27
– Maluku 13
– Kaltara 9
– Papbar 9
– Gorontalo 8
– Sultra 5
– Sulut 3
– Malut 2
– Sulbar

Terdaftar provinsi yang tingkat penambahannya di bawah 10 kasus positif ada 7 provinsi : Kalimantan Utara, Papua Barat, Gorontalo, Sulawesi Tenggara, Sulawesi Utara, Maluku Utara, Sulawesi Barat.

Daftar provinsi yang tercatat tidak ada penambahan pasien terkonfirmasi positif Covid-19 ada 1 provinsi: Sulawesi Barat

Persentase Sembuh Meningkat

Jumlah kasus sembuh kemarin adalah 1.517.432 orang dan hari ini dilaporkan bertambah 5.202 orang, sehingga total yang dinyatakan sembuh menjadi sejumlah 1.522.634. Jika kemarin dilaporkan bertambah 6.015 orang, maka hari ini sejumlah 5.202 kasus sembuh.

Selain itu persentase jumlah kasus sembuh cukup tinggi yaitu sejumlah 91,26% meningkat dibandingkan kumarin sejumlah 91,25%. Hal ini didapat jika dibandingkan total kasus positif sejumlah 1.668.368.

Angka kesembuhan tertinggi adalah Jawa Barat (1.179), Jawa Tengah (923), DKI Jakarta (540), Riau (403), Jawa Timur (265), DI Yogyakarta (258), Kalimantan Selatan (190), Kalimantan Timur (176), Bangka Belitung (151), Bali (141), Sumatera Barat (140), Sulawesi Utara (109).

Jumlah Kasus Meninggal Menurun

Untuk kasus meninggal, jika kemarin diberitakan ada sejumlah 45.334 orang, maka hari ini bertambah sebanyak 187 orang, sehingga total kasus meninggal menjadi 45.521 orang. Dengan demikian jika kemarin tercatat 218 orang kasus meninggal maka hari ini terjadi penurunan kasus menjadi sejumlah 187 orang kasus meninggal.

Kasus Aktif Meningkat

Hari ini dilaporkan kasus aktif sejumlah 100.213 ( bertambah 111), dibandingkan kemarin sebesar 100.102.

Jumlah kasus suspek sejumlah 67.208 dibandingkan kemarin sejumlah 66.295 dan ada 77.226 spesimen dibandingkan kemarin sejumlah 75.820 spesimen.

Akumulasi data tersebut diambil dari hasil uji spesimen sebanyak 14.619.439 spesimen yang dilakukan menggunakan metode Polymerase Chain Reaction (PCR) dan TCM (Test Cepat Molekuler).

Positivity Rate Harian Meningkat

Positive rate adalah jumlah hasil pemeriksaan yang dinyatakan positif dibagi keseluruhan jumlah total pemeriksaan. Secara harian maka ada penambahan orang yang ditest sejumlah 51.664 dengan 10,6% positive rate, dibandingkan kemarin orang yang ditest sejumlah 55.483 dengan 10,51% positive rate.

Progress Harian Vaksinasi COVID-19

Berdasarkan laporan Kemenkes maka total sasaran vaksinasi secara keseluruhan adalah sejumlah 181.554.465.

Target sasaran vaksinasi saat ini sejumlah 40.349.051. Terdiri dari SDM Kesehatan sejumlah 1.468.764, Petugas Publik sejumlah 17.327.169 dan Lansia sejumlah 21.553.118.

Hingga hari ini vaksinasi tahap pertama telah dilaksanakan total sejumlah 12.422.253 dengan persentase 30,79% (update 30 April 2021 jam 18.00), dibandingkan kemarin total sejumlah 12.280.765 dengan persentase 30,44% (update 29 April 2021 jam 12.00).

Sedangkan vaksinasi tahap kedua telah dilaksanakan total sejumlah 7,646,284 dengan persentase 18,95% (update 30 April 2021 jam 18.00), dibandingkan kemarin total sejumlah 7,566,371 dengan persentase 18,75% (update 29 April 2021 jam 12.00).

Data tersebut diambil dari 34 provinsi. Hingga saat ini seluruh provinsi sudah terdampak Covid-19.

Berikut adalah data COVID-19 di seluruh provinsi pada tanggal 30 April 2021:

LEAVE A REPLY

Please enter your comment!
Please enter your name here