(Vibizmedia – Nasional) Berikut adalah angka akumulatif perkembangan data kasus Covid-19 dari seluruh Indonesia hingga tanggal 19 Mei 2021.
Kasus Positif Baru Meningkat
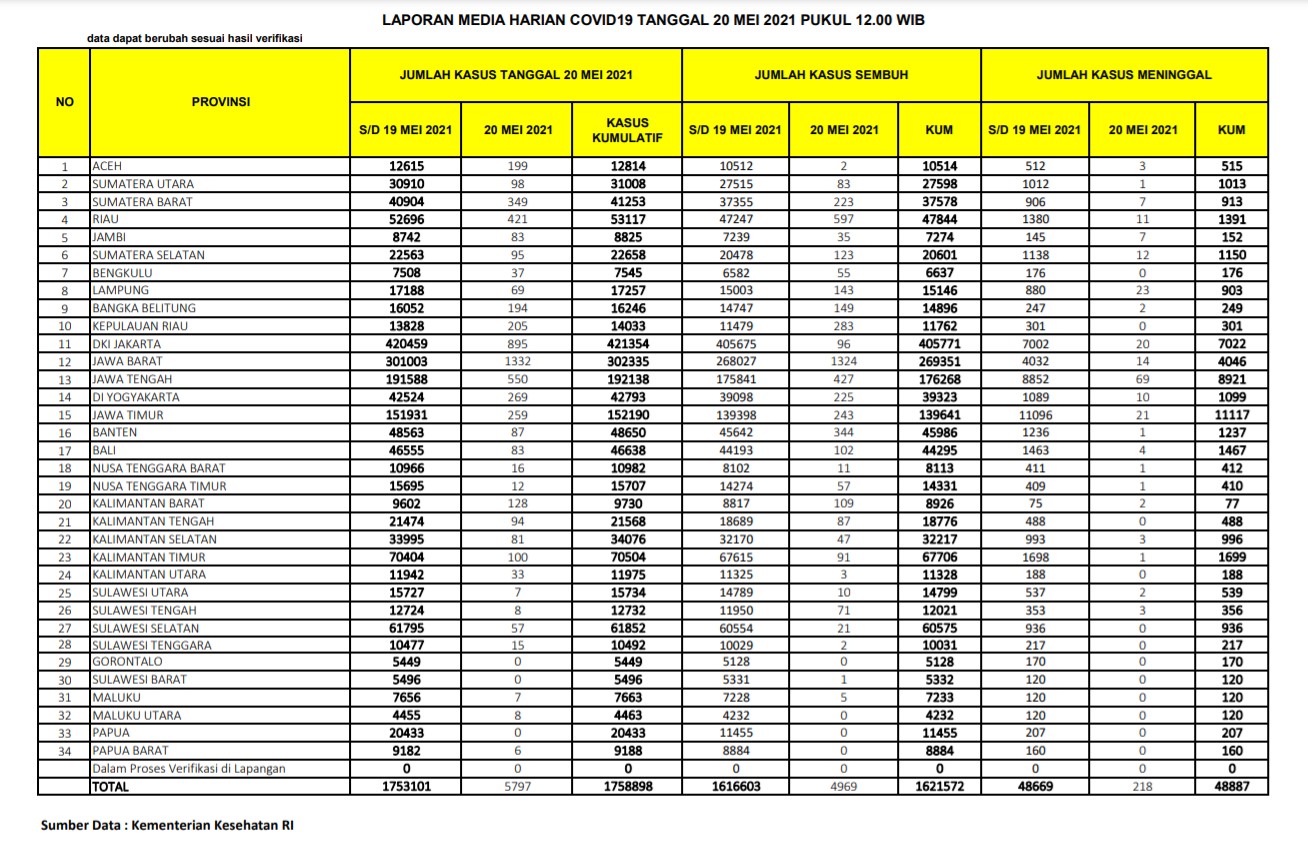
Total kasus positif dilaporkan kemarin sejumlah 1.753.101 kasus. Hari ini kasus positif terinfeksi COVID-19 dilaporkan bertambah sebanyak 5.797 kasus. Sehingga total akumulatif menjadi sejumlah 1.758.898 kasus positif. Dengan demikian telah terjadi kenaikan kasus dari sejumlah 4.871 kasus kemarin menjadi 5.797 kasus.
Penambahan tertinggi adalah Jawa Barat (1.332), satu-satunya provinsi dengan penambahan di atas 1.000. Diikuti oleh DKI Jakarta (895), Riau (421), Sumatera Barat (349), Jawa Tengah (269), DIY (269), Jawa Timur (259), Kepulauan Riau (205), Aceh (199), Bangka Belitung (194), Kalimantan Barat (128), Kalimantan Timur (100).
Berikut rincian penambahan kasus positif per provinsi per tanggal 20 Mei 2021:
– Jabar 1.332
– Jakarta 895
– Riau 421
– Sumbar 349
– Jateng 269
– DIY 269
– Jatim 259
– Kepri 205
– Aceh 199
– Babel 194
– Kalbar 128
– Kaltim 100
– Sumut 98
– Sumsel 95
– Kalteng 94
– Banten 87
– Bali 83
– Jambi 83
– Kalsel 81
– Lampung 69
– Sulsel 57
– Bengkulu 37
– Kaltara 33
– NTB 16
– Sultra 15
– NTT 12
– Sulteng 8
– Sulut 7
– Maluku 7
– Papbar 6
– Gorontalo
– Malut
– Sulbar
– Papua
Terdaftar provinsi yang tingkat penambahannya di bawah 10 kasus positif ada 8 provinsi : Sulawesi Tengah, Sulawesi Utara, Maluku, Papua Barat, Gorontalo, Maluku Utara, Sulawesi Barat, Papua.
Daftar provinsi yang tercatat tidak ada penambahan pasien terkonfirmasi positif Covid-19 ada 3 provinsi : Sulawesi Barat, Maluku Utara, Papua.
Persentase Sembuh
Jumlah kasus sembuh kemarin adalah 1.616.603 orang dan hari ini dilaporkan bertambah 4.969 orang, sehingga total yang dinyatakan sembuh menjadi sejumlah 1.621.572. Jika kemarin dilaporkan bertambah 4.364 orang, maka hari ini meningkat menjadi sejumlah 4.969 kasus sembuh.
Selain itu persentase jumlah kasus sembuh cukup tinggi yaitu sebesar 92,19%
Hal ini didapat jika dibandingkan total kasus positif sejumlah 1.758.898.
Angka kesembuhan tertinggi adalah Jawa Barat (1.324), Riau (597), Jawa Tengah (427), Banten (344), Kepulauan Riau (283), Jawa Timur (243), DI Yogyakarta (225), Sumatera Barat (223), Bangka Belitung (149), Lampung (143), Sumatera Selatan (123), Kalimantan Barat (109), Bali (102).
Jumlah Kasus Meninggal Baru Meningkat
Untuk kasus meninggal, jika kemarin diberitakan ada sejumlah 48.669 orang, maka hari ini bertambah sebanyak 218 orang, sehingga total kasus meninggal menjadi 48.887 orang. Dengan demikian jika kemarin tercatat 192 orang kasus meninggal maka hari ini terjadi kenaikan kasus menjadi sejumlah 218 orang kasus meninggal.
Kasus Aktif Turun Hingga di Bawah 89.000
Namun hari ini dilaporkan kasus aktif turun kembali sebesar 610, sehingga menjadi sejumlah 88.439. Dibandingkan kemarin sejumlah 87.829.
Jumlah kasus suspek sejumlah 75.168 dan ada 95.435 spesimen.
Akumulasi data tersebut diambil dari hasil uji spesimen sebanyak 15.812.849 spesimen yang dilakukan menggunakan metode Polymerase Chain Reaction (PCR) dan TCM (Test Cepat Molekuler).
Positivity Rate Harian Meningkat
Positive rate adalah jumlah hasil pemeriksaan yang dinyatakan positif dibagi keseluruhan jumlah total pemeriksaan. Secara harian maka ada penambahan orang yang ditest sejumlah 55.831 dengan 10,4% positive rate dibandingkan kemarin sejumlah 53.158 dengan 9,2% positive rate.
Progress Harian Vaksinasi COVID-19
Berdasarkan laporan Kemenkes maka total sasaran vaksinasi secara keseluruhan adalah sejumlah 181.554.465.
Target sasaran vaksinasi saat ini sejumlah 40.349.051. Terdiri dari SDM Kesehatan sejumlah 1.468.764, Petugas Publik sejumlah 17.327.169 dan Lansia sejumlah 21.553.118.
Hingga hari ini vaksinasi tahap pertama telah dilaksanakan total sejumlah 14,369,233 dengan persentase 35.61% (update 20 Mei 2021 jam 12.00), dibandingkan kemarin sejumlah 14,099,754 dengan persentase 34.94% (update 19 Mei 2021 jam 12.00).
Sedangkan vaksinasi tahap kedua telah dilaksanakan total sejumlah 9,536,102 dengan persentase 23.63% (update 20 Mei 2021 jam 12.00), dibandingkan kemarin sejumlah 9,366,635 dengan persentase 23.21% (update 19 Mei 2021 jam 12.00).
Data tersebut diambil dari 34 provinsi. Hingga saat ini seluruh provinsi sudah terdampak Covid-19.
Berikut adalah data COVID-19 di seluruh provinsi pada tanggal 20 Mei 2021:










