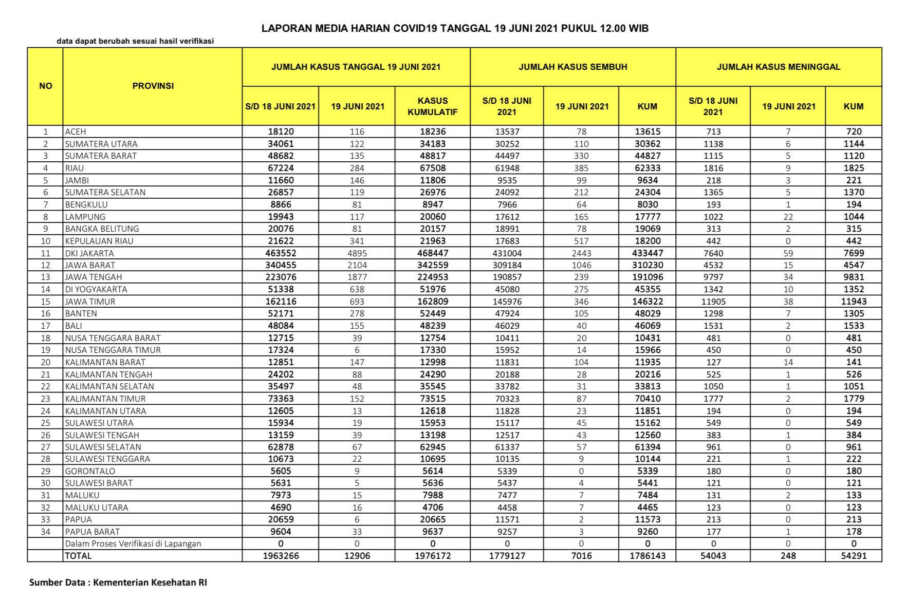
(Vibizmedia – Nasional) Berikut adalah angka akumulatif perkembangan data kasus Covid-19 dari seluruh Indonesia hingga tanggal 19 Juni 2021.
Kasus Positif Baru Menurun
Total kasus positif dilaporkan kemarin sejumlah 1.963.266 kasus. Hari ini kasus positif terinfeksi COVID-19 dilaporkan bertambah sebanyak 12.906 kasus. Sehingga total akumulatif menjadi sejumlah 1.976.172 kasus positif. Dengan demikian telah terjadi penurunan kasus dari sejumlah 12.990 kasus kemarin menjadi 12.906 kasus.
Hari ini DKI Jakarta masih merupakan satu-satunya provinsi dengan penambahan kasus positif baru di atas 4.000 yaitu sejumlah 4.895 , 1 provinsi dengan penambahan kasus positif baru di atas 2000, yaitu Jawa Barat (2.104). Dan ada 1 provinsi melaporkan kasus positif baru di atas 1.000, yaitu Jawa Tengah (1.877).
Selebihnya melaporkan kasus positif baru di bawah 1.000, yang cukup tinggi adalah Jatim (693), DIY (638), Kepulauan Riau (341), Riau (284), Banten (278), Bali (155), Kaltim (152), Kalbar (147), Jambi (146), Sumbar (135), Sumut (122), Sumsel (119), Lampung (117), Aceh (116).
Berikut rincian penambahan kasus positif per provinsi per tanggal 19 Juni 2021:
– Jakarta 4.895
– Jabar 2.104
– Jateng 1.877
– Jatim 693
– DIY 638
– Kepri 341
– Riau 284
– Banten 278
– Bali 155
– Kaltim 152
– Kalbar 147
– Jambi 146
– Sumbar 135
– Sumut 122
– Sumsel 119
– Lampung 117
– Aceh 116
– Kalteng 88
– Bengkulu 81
– Babel 81
– Sulsel 67
– Kalsel 48
– NTB 39
– Sulteng 39
– Papbar 33
– Sultra 22
– Sulut 19
– Malut 16
– Maluku 15
– Kaltara 13
– Gorontalo 9
– NTT 6
– Papua 6
– Sulbar 5
Terdaftar provinsi yang tingkat penambahannya di bawah 10 kasus positif ada 2 provinsi : Gorontalo, NTT, Papua, Sulawesi Barat
Daftar provinsi yang tercatat tidak ada penambahan pasien terkonfirmasi positif Covid-19 : TIDAK ADA
Kasus Sembuh Baru dan Persentase Sembuh
Jumlah kasus sembuh kemarin adalah 1.779.127 orang dan hari ini dilaporkan bertambah 7.016 orang, sehingga total yang dinyatakan sembuh menjadi sejumlah 1.786.143. Jika kemarin dilaporkan bertambah 7.907 orang, maka hari ini sejumlah 7.016 kasus sembuh.
Selain itu persentase jumlah kasus sembuh cukup tinggi yaitu sebesar 90,38%.
Hal ini didapat jika dibandingkan total kasus positif sejumlah 1.976.172.
Angka kesembuhan tertinggi adalah DKI Jakarta (2.443), Jawa Barat (1.046), Kepulaua Riau (517), Riau (385), Jawa Timur (346), Sumatera Barat (330), DI Yogyakarta (275), Jawa Tengah (239), Sumatera Selatan (212), Lampung (165), Sumatera Utara (110), Banten (105), Kalimantan Barat (104).
Jumlah Kasus Meninggal Baru Menurun
Untuk kasus meninggal, jika kemarin diberitakan ada sejumlah 54.043 orang, maka hari ini bertambah sebanyak 248 orang, sehingga total kasus meninggal menjadi 54.291 orang. Dengan demikian jika kemarin tercatat 290 orang kasus meninggal maka hari ini terjadi penurunan kasus menjadi sejumlah 248 orang kasus meninggal.
Kasus Aktif Meningkat
Hari ini dilaporkan kasus aktif naik sejumlah 5.642 menjadi sejumlah 135.738, dibandingkan kemarin naik sebesar 4.793 menjadi sejumlah 130.096.
Jumlah kasus suspek sejumlah 118.023 dan ada 122.410 spesimen, dibandingkan kemarin kasus suspek sejumlah 111.635 dan ada 132.215 spesimen.
Positivity Rate Harian Menurun
Positive rate adalah jumlah hasil pemeriksaan yang dinyatakan positif dibagi keseluruhan jumlah total pemeriksaan. Secara harian maka ada penambahan orang yang ditest sejumlah 75.605 dengan 17,1% positive rate dibandingkan kemarin sejumlah 73.805 dengan 17,6% positive rate .
Progress Harian Vaksinasi COVID-19
Berdasarkan laporan Kemenkes maka total sasaran vaksinasi secara keseluruhan adalah sejumlah 181.554.465.
Target sasaran vaksinasi saat ini sejumlah 40.349.049, terdiri dari SDM Kesehatan, Petugas Publik dan Lansia.
Hingga hari ini vaksinasi tahap pertama telah dilaksanakan total sejumlah 22,999,939 dengan persentase 57,00% (update 19 Juni 2021 jam 18.00) dibandingkan kemarin sejumlah 22,656,788 dengan persentase 56,15% (update 18 Juni 2021 jam 18.00)
Sedangkan vaksinasi tahap kedua telah dilaksanakan total sejumlah 12,233,285 dengan persentase 30,32% (update 19 Juni 2021 jam 18.00) dibandingkan kemarin sejumlah 12,139,826 dengan persentase 30,09% (update 18 Juni 2021 jam 18.00)
Data tersebut diambil dari 34 provinsi. Hingga saat ini seluruh provinsi sudah terdampak Covid-19.
Berikut adalah data COVID-19 di seluruh provinsi pada tanggal 19 Juni 2021:










