(Vibizmedia – Nasional) Berikut adalah angka akumulatif perkembangan data kasus Covid-19 dari seluruh Indonesia hingga tanggal 27 Juli 2021
Penambahan Kasus Positif Baru Meningkat
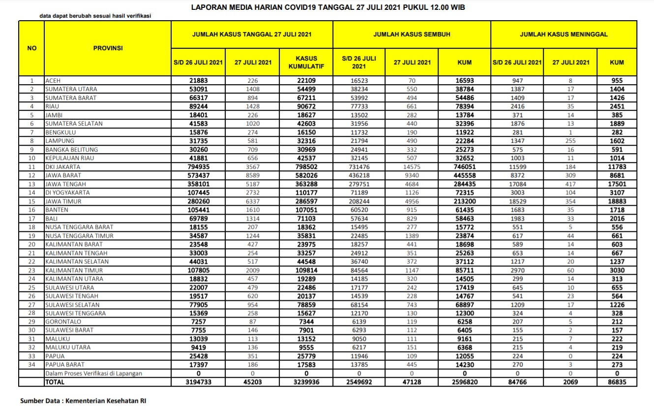
Total kasus positif dilaporkan kemarin sejumlah 3.194.733. Hari ini kasus positif terinfeksi COVID-19 dilaporkan bertambah sebanyak 45.203 kasus. Sehingga total akumulatif menjadi sejumlah 3.239.936 kasus positif. Dengan demikian terjadi kenaikan kasus dari sejumlah 28.228 kasus kemarin menjadi 45.203 kasus.
Hari ini Jawa Barat melaporkan kenaikan kasus positif baru menjadi 8.589 dibandingkan kemarin sebesar 4.368. Jawa Timur melaporkan kenaikan kasus positif baru menjadi 6.337 dibanding kemarin sebesar 3.157. Jawa Tengah melaporkan penurunan kasus positif baru menjadi 5.187 dibandingkan kemarin sebesar 4.021. DKI Jakarta melaporkan kenaikan kasus positif baru menjadi 3.567 dibandingkan kemarin sebesar 2.662. DI Yogyakarta juga melaporkan kenaikan kasus positif baru menjadi 2.732 dibanding kemarin sebesar 2.667. Kalimantan Timur melaporkan kenaikan kasus baru sebesar 2.009 dibanding kemarin 1.693 . Banten melaporkan kenaikan kasus sejumlah 1.610. Riau juga melaporkan kenaikan kasus sebesar 1.428 dibanding kemarin sebesar 1.137. Sumatera Utara melaporkan kenaikan kasus sebesar 1.408 dibandingkan kemarin sejumlah 1.028. Bali melaporkan kenaikan kasus baru sejumlah 1.314 dibanding kemarin sejumlah 1.078. NTT melaporkan kenaikan kasus sejumlah NTT 1.244. Sumatera Selatan melaporkan kenaikan kasus sebesar 1.020.
Jadi ada 12 provinsi melaporkan kenaikan kasus di atas 1.000.
Selebihnya melaporkan kasus positif baru di bawah 1.000, dengan jumlah di atas 300 kasus adalah Sulawesi Selatan (954), Sumatera Barat (894), Bangka Belitung (709), Kepulauan Riau (656), Sulawesi Tengah (620), Lampung (581), Kalimantan Selatan (517), Sulawesi Utara (479), Kalimantan Utara (457), Kalimantan Barat (427), Papua (351).
Sebaran 45.203 kasus baru pada tanggal 27 Juli 2021 adalah sebagai berikut:
– Jabar 8.589
– Jatim 6.337
– Jateng 5.187
– Jakarta 3.567
– DIY 2.732
– Kaltim 2.009
– Banten 1.610
– Riau 1.428
– Sumut 1.408
– Bali 1.314
– NTT 1.244
– Sumsel 1.020
– Sulsel 954
– Sumbar 894
– Babel 709
– Kepri 656
– Sulteng 620
– Lampung 581
– Kalsel 517
– Sulut 479
– Kaltara 457
– Kalbar 427
– Papua 351
– Bengkulu 274
– Sultra 258
– Kalteng 254
– Aceh 226
– Jambi 226
– NTB 207
– Papbar 186
– Sulbar 146
– Malut 136
– Maluku 113
– Gorontalo 87
Terdaftar provinsi yang tingkat penambahannya di bawah 10 kasus positif : TIDAK ADA
Daftar provinsi yang tercatat tidak ada penambahan pasien terkonfirmasi positif Covid-19 : TIDAK ADA
Rekor Kasus Sembuh dan Persentase Sembuh Meningkat
Jumlah kasus sembuh kemarin adalah 2.549.692 orang dan hari ini dilaporkan bertambah 47.128 orang dan merupakan rekor sembuh hingga saat ini, sehingga total yang dinyatakan sembuh menjadi sejumlah 2.596.820. Jika kemarin dilaporkan bertambah 40.374 orang, maka hari ini meningkat menjadi sejumlah 47.128 kasus sembuh.
Selain itu persentase jumlah kasus sembuh meningkat menjadi 80,15% dibandingkan kemarin sebesar 79,81%
Hal ini didapat jika dibandingkan total kasus positif sejumlah 3.239.936.
Angka kesembuhan tertinggi adalah DKI Jakarta (14.575), Jawa Barat (9.340), Jawa Timur (4.956), Jawa Tengah (4.684), NTT (1.389), Kalimantan Timur (1.147), DI Yogyakarta (1.126), Banten (915), Bali (829), Sulawesi Selatan (743), Riau (661), Sumatera Utara (550), Kepulauan Riau (507), Sumatera Barat (494), Lampung (490), Papua Barat (445), Kalimantan Barat (441), Sumatera Selatan (440), Kalimantan Selatan (372), Kalimantan Tengah (351), Bangka Belitung (332), Jambi (282), NTB (277), Sulawesi Utara (242), Sulawesi Tengah (228).
Jumlah Kasus Meninggal Baru Naik
Untuk kasus meninggal, jika kemarin diberitakan ada sejumlah 84.766 orang, maka hari ini bertambah sebanyak 2.069 orang, sehingga total kasus meninggal menjadi 86.835 orang. Dengan demikian jika kemarin tercatat 1.487 orang kasus meninggal maka hari ini terjadi kenaikan kasus menjadi sejumlah 2.069 orang kasus meninggal.
Kasus Aktif Turun
Hari ini dilaporkan kasus aktif kembali turun sejumlah 3.994 menjadi 556.281, dibandingkan kemarin kasus aktif turun sejumlah 13.633 menjadi 560.275. Dengan demikian telah 2 hari kasus aktif mengalami penurunan.
Jumlah kasus suspek sejumlah 281.492 dan ada 270.434 spesimen, dibandingkan kemarin kasus suspek sejumlah 287.987 dan ada 160.958 spesimen.
Positivity Rate Harian Meningkat
Positive rate adalah jumlah hasil pemeriksaan yang dinyatakan positif dibagi keseluruhan jumlah total pemeriksaan. Secara harian maka ada penambahan orang yang ditest sejumlah 180.202 dengan 25,08% positive rate dibandingkan kemarin sejumlah 121.266 dengan 23,28% positive rate.
Progress Harian Vaksinasi COVID-19
Berdasarkan laporan Kemenkes maka total sasaran vaksinasi secara keseluruhan sejumlah 208.265.720, terdiri dari Tenaga Kesehatan, Lanjut Usia, Petugas Publik, Masyarakat Rentan, Masyarakat Umum, Usia 12-17 tahun.
Hingga hari ini vaksinasi tahap pertama telah dilaksanakan total sejumlah 45,278,549 dengan persentase 21,74% (update 27 Juli 2021 jam 18.00) dibandingkan kemarin sejumlah 44,728,320 dengan persentase 21,48% (update 26 Juli 2021 jam 12.00))
Sedangkan vaksinasi tahap kedua telah dilaksanakan total sejumlah 18,666,343 dengan persentase 8,96% (update 27 Juli 2021 jam 18.00) dibandingkan kemarin sejumlah 18,129,878 dengan persentase 8,71% (update 26 Juli 2021 jam 12.00)
Data tersebut diambil dari 34 provinsi. Hingga saat ini seluruh provinsi sudah terdampak Covid-19.
Berikut adalah data COVID-19 di seluruh provinsi pada tanggal 27 Juli 2021:










