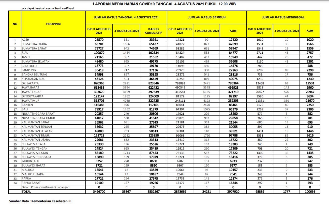
(Vibizmedia – Nasional) Berikut adalah angka akumulatif perkembangan data kasus Covid-19 dari seluruh Indonesia hingga tanggal 4 Agustus 2021
Penambahan Kasus Positif Baru Naik
Total kasus positif dilaporkan kemarin sejumlah 3.496.700. Hari ini kasus positif terinfeksi COVID-19 dilaporkan bertambah sebanyak 35.867 kasus. Sehingga total akumulatif menjadi sejumlah 3.532.567 kasus positif. Dengan demikian terjadi kenaikan kasus positif baru dari sejumlah 33.900 kasus kemarin menjadi 35.867 kasus.
Hari ini Jawa Tengah melaporkan penurunan kasus positif baru menjadi 4.169 dibandingkan kemarin sebesar 4.331. Jawa Timur melaporkan penurunan kasus positif baru menjadi 4.030 dibanding kemarin sebesar 4.113. Jawa Barat melaporkan penurunan kasus positif baru menjadi 3.994 dibandingkan kemarin sebesar 4.301. DKI Jakarta melaporkan kenaikan kasus positif baru menjadi 2.981 dibandingkan kemarin sebesar 1.601. Kalimantan Timur melaporkan kenaikan kasus baru sebesar 2.222 dibanding kemarin 1.419. DI Yogyakarta melaporkan kenaikan kasus positif baru menjadi 1.862 dibanding kemarin sebesar 1.445. Sumatera Utara melaporkan kenaikan kasus positif baru menjadi 1.656 dibanding kemarin sebesar 1.434. Riau melaporkan kenaikan kasus baru sejumlah 1.464 dibanding kemarin sebesar 1.254. Bali melaporkan penurunan kasus baru sejumlah 1.362 dibanding kemarin sejumlah 1.408. Sulawesi Selatan melaporkan kenaikan kasus baru sejumlah 1.243 dibanding kemarin sebesar 1.131.
Jadi ada 10 provinsi melaporkan kenaikan kasus di atas 1.000.
Selebihnya melaporkan kasus positif baru di bawah 1.000, dengan jumlah di atas 300 kasus adalah Banten (976), Sumatera Barat (942), Bangka Belitung (857), Kalimantan Selatan (733), Lampung (717), Sumatera Selatan (695), Kalimantan Barat (681), Sulawesi Tengah (665), Kalimantan Utara (632), NTT (530), Kepulauan Riau (503), Bengkulu (397), Jambi (387), Aceh (351).
Sebaran 35.867 kasus baru tanggal 4 Agustus 2021:
– Jateng 4.169
– Jatim 4.030
– Jabar 3.994
– Jakarta 2.981
– Kaltim 2.222
– DIY 1.862
– Sumut 1.656
– Riau 1.464
– Bali 1.362
– Sulsel 1.243
– Banten 976
– Sumbar 942
– Babel 857
– Kalsel 733
– Lampung 717
– Sumsel 695
– Kalbar 681
– Sulteng 665
– Kaltara 632
– NTT 530
– Kepri 503
– Bengkulu 397
– Jambi 387
– Aceh 351
– Gorontalo 278
– Kalteng 265
– Papua 254
– NTB 249
– Sulut 196
– Sultra 189
– Sulbar 169
– Papbar 157
– Malut 43
– Maluku 18
Terdaftar provinsi yang tingkat penambahannya di bawah 10 kasus positif : TIDAK ADA.
Daftar provinsi yang tercatat tidak ada penambahan pasien terkonfirmasi positif Covid-19 : TIDAK ADA .
Kasus Sembuh dan Persentase Sembuh Meningkat
Jumlah kasus sembuh kemarin adalah 2.873.669 orang dan hari ini dilaporkan bertambah 34.251 orang, sehingga total yang dinyatakan sembuh menjadi sejumlah 2.907.920. Jika kemarin dilaporkan bertambah 31.324 orang, maka hari ini meningkat menjadi sejumlah 34.251 kasus sembuh.
Dengan demikian persentase jumlah kasus sembuh meningkat menjadi 82,32% dibandingkan kemarin sebesar 82,18%.
Hal ini didapat jika dibandingkan total kasus positif sejumlah 3.532.567.
Angka kesembuhan tertinggi adalah Jawa Tengah (6.135), Jawa Barat (5.378), Jawa Timur (4.192), DKI Jakarta (2.471), Banten (2.420), Kalimantan Timur (1.720), DI Yogyakarta (1.125), Bali (1.075), NTT (982), Sumatera Utara (827), Kepulauan Riau (819), Sumatera Barat (661), Sulawesi Selatan (587), Riau (553), Bangka Belitung (541), Sumatera Selatan (499), Bengkulu (480), Jambi (467), Kalimantan Tengah (382), Kalimantan Barat (363), Lampung (338), Kalimantan Utara (312), Sulawesi Tengah (290), NTB (279).
Jumlah Kasus Meninggal Baru Naik
Untuk kasus meninggal, jika kemarin diberitakan ada sejumlah 98.889 orang, maka hari ini bertambah sebanyak 1.747 orang, sehingga total kasus meninggal menjadi 100.636 orang. Dengan demikian jika kemarin tercatat 1.598 orang kasus meninggal maka hari ini terjadi kenaikan kasus menjadi sejumlah 1.747 orang kasus meninggal.
Kasus Aktif Turun
Hari ini dilaporkan kasus aktif turun sejumlah 131 menjadi 524.011, dibandingkan kemarin kasus aktif naik sejumlah 978 menjadi 524.142.
Jumlah kasus suspek sejumlah 146.820 dan ada 242.328 spesimen, dibandingkan kemarin kasus suspek sejumlah 130.628 dan ada 248.226 spesimen.
Positivity Rate Harian
Positive rate adalah jumlah hasil pemeriksaan yang dinyatakan positif dibagi keseluruhan jumlah total pemeriksaan. Secara harian maka ada penambahan orang yang ditest sejumlah 148.812 dengan 24,10% positive rate
Progress Harian Vaksinasi COVID-19
Berdasarkan laporan Kemenkes maka total sasaran vaksinasi secara keseluruhan sejumlah 208.265.720, terdiri dari Tenaga Kesehatan, Lanjut Usia, Petugas Publik, Masyarakat Rentan, Masyarakat Umum, Usia 12-17 tahun.
Hingga hari ini vaksinasi tahap pertama telah dilaksanakan total sejumlah 48,485,265 dengan persentase 23,28% (update 4 Agustus 2021 jam 12.00) dibandingkan kemarin sejumlah 48,106,208 dengan persentase 23,10% (update 3 Agustus 2021 jam 18.00).
Sedangkan vaksinasi tahap kedua telah dilaksanakan total sejumlah 21,965,366 dengan persentase 10,55% (update 4 Agustus 2021 jam 12.00) dibandingkan kemarin sejumlah 21,436,908 dengan persentase 10,29% (update 3 Agustus 2021 jam 18.00).
Data tersebut diambil dari 34 provinsi. Hingga saat ini seluruh provinsi sudah terdampak Covid-19.
Berikut adalah data COVID-19 di seluruh provinsi pada tanggal 4 Agustus 2021:










