(Vibizmedia – Nasional) Berikut adalah angka akumulatif perkembangan data kasus Covid-19 dari seluruh Indonesia hingga tanggal 9 Agustus 2021
Penambahan Kasus Positif Baru Turun Lagi
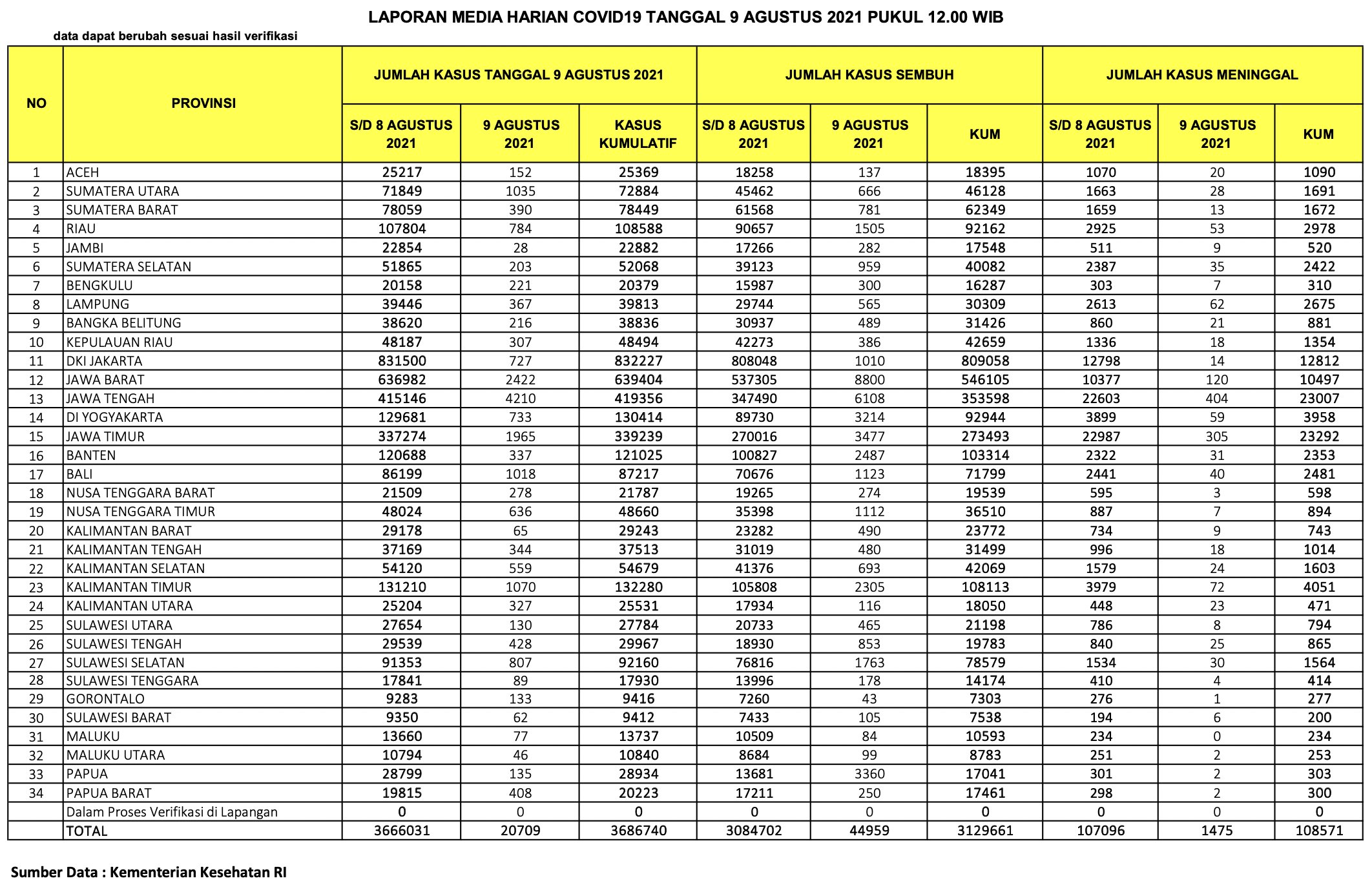
Total kasus positif dilaporkan kemarin sejumlah 3.666.031. Hari ini kasus positif terinfeksi COVID-19 dilaporkan bertambah sebanyak 20.709 kasus. Sehingga total akumulatif menjadi sejumlah 3.686.740 kasus positif. Dengan demikian terjadi penurunan kembali kasus positif baru dari sejumlah 26.415 kasus kemarin menjadi 20.709 kasus.
Hari ini Jawa Tengah melaporkan penurunan kasus positif baru menjadi 4.210 dibandingkan kemarin sebesar 4.693. Jawa Barat melaporkan kenaikan kasus positif baru menjadi 2.422 dibandingkan kemarin sebesar 2.248. Jawa Timur melaporkan penurunan kasus positif baru menjadi 1.965 dibanding kemarin sebesar 2.537. Kalimantan Timur melaporkan penurunan kasus baru sebesar 1.070 dibanding kemarin 1.576. Sumatera Utara melaporkan kenaikan kasus positif baru menjadi 1.035 dibanding kemarin sebesar 1.406. Bali melaporkan penurunan kasus baru sejumlah 1.018 dibanding kemarin sejumlah 1.184.
Jadi terjadi penurunan, ada 6 provinsi melaporkan kenaikan kasus di atas 1.000, dibanding kemarin ada 9 provinsi.
Selebihnya melaporkan kasus positif baru di bawah 1.000, dengan jumlah di atas 300 kasus adalah Sulawesi Selatan (807), Riau (784), DIY (733), Jakarta (727), NTT (636), Kalimantan Selatan (559), Sulawesi Tengah (428), Papua Barat (408), Sumatera Barat (390), Lampung (367), Kalimantan Tengah (344), Banten (337), Kalimantan Utara (327), Kepulauan Riau (307).
Sebaran 20.709 kasus baru tanggal 9 Agustus 2021:
– Jateng 4.210
– Jabar 2.422
– Jatim 1.965
– Kaltim 1.070
– Sumut 1.035
– Bali 1.018
– Sulsel 807
– Riau 784
– DIY 733
– Jakarta 727
– NTT 636
– Kalsel 559
– Sulteng 428
– Papbar 408
– Sumbar 390
– Lampung 367
– Kalteng 344
– Banten 337
– Kaltara 327
– Kepri 307
– NTB 278
– Bengkulu 221
– Babel 216
– Sumsel 203
– Aceh 152
– Papua 135
– Gorontalo 133
– Sulut 130
– Sultra 89
– Maluku 77
– Kalbar 65
– Sulbar 62
– Malut 46
– Jambi 28
Terdaftar provinsi yang tingkat penambahannya di bawah 10 kasus positif : TIDAK ADA
Daftar provinsi yang tercatat tidak ada penambahan pasien terkonfirmasi positif Covid-19 : TIDAK ADA .
Persentase Sembuh Meningkat
Jumlah kasus sembuh kemarin adalah 3.084.702 orang dan hari ini dilaporkan bertambah 44.959 orang, sehingga total yang dinyatakan sembuh menjadi sejumlah 3.129.661. Jika kemarin dilaporkan bertambah 48.508 orang, maka hari ini sejumlah 44.959 kasus sembuh.
Dengan demikian persentase jumlah kasus sembuh meningkat menjadi 84,89% dibandingkan kemarin sebesar 84,14%.
Hal ini didapat jika dibandingkan total kasus positif sejumlah 3.686.740.
Angka kesembuhan tertinggi adalah Jawa Barat (8.800), Jawa Tengah (6.108), Jawa Timur (3.477), Papua (3.360), DI Yogyakarta (3.214), Banten (2.487), Kalimantan Timur (2.305), Sulawesi Selatan (1.763), Riau (1.505), Bali (1.123), NTT (1.112), DKI Jakarta (1.010), Sumatera Selatan (959), Sulawesi Tengah (853), Sumatera Barat (781), Kalimantan Selatan (693), Sumatera Utara (666), Lampung (565), Kalimantan Barat (490), Bangka Belitung (489), Kalimantan Tengah (480), Sulawesi Utara (465), Kepulauan Riau (386), Bengkulu (300), Jambi (282), NTB (274), Papua Barat (250).
Jumlah Kasus Meninggal Baru Turun
Untuk kasus meninggal, jika kemarin diberitakan ada sejumlah 107.096 orang, maka hari ini bertambah sebanyak 1.475 orang, sehingga total kasus meninggal menjadi 108.571 orang. Dengan demikian jika kemarin tercatat 1.498 orang kasus meninggal maka hari ini kembali terjadi penurunan kasus menjadi sejumlah 1.475 orang kasus meninggal.
Kasus Aktif Turun Kembali
Hari ini dilaporkan kasus aktif turun sejumlah 25.725 menjadi 448.408, dibandingkan kemarin turun sejumlah turun sejumlah23.591 menjadi 474.233. Sejak tanggal 4 Agustus 2021 hingga harı ini kasus aktif turun dalam 6 harı berturut-turut.
Jumlah kasus suspek sejumlah 256.748 dan ada 145.202 spesimen, dibandingkan kemarin kasus suspek sejumlah 238.649 dan ada 166.764 spesimen.
Positivity Rate Harian Turun
Positive rate adalah jumlah hasil pemeriksaan yang dinyatakan positif dibagi keseluruhan jumlah total pemeriksaan. Secara harian maka ada penambahan orang yang ditest sejumlah 99.387 dengan 20,84% positive rate dibandingkan kemarin sejumlah 102.565 dengan 25,75% positive rate
Progress Harian Vaksinasi COVID-19
Berdasarkan laporan Kemenkes maka total sasaran vaksinasi secara keseluruhan sejumlah 208.265.720, terdiri dari Tenaga Kesehatan, Lanjut Usia, Petugas Publik, Masyarakat Rentan, Masyarakat Umum, Usia 12-17 tahun.
Hingga hari ini vaksinasi tahap pertama telah dilaksanakan total sejumlah 51,181,322 dengan persentase 24,58% (update 9 Agustus 2021 jam 12.00) dibandingkan kemarin sejumlah 50,497,940 dengan persentase 24,25% (update 8 Agustus 2021 jam 18.00)
Sedangkan vaksinasi tahap kedua telah dilaksanakan total sejumlah 24,481,296 dengan persentase 11,75% (update 9 Agustus 2021 jam 12,00) dibandingkan kemarin sejumlah 23,777,323 dengan persentase 11,42% (update 8 Agustus 2021 jam 18.00).
Data tersebut diambil dari 34 provinsi. Hingga saat ini seluruh provinsi sudah terdampak Covid-19.
Berikut adalah data COVID-19 di seluruh provinsi pada tanggal 8 Agustus 2021:










