(Vibizmedia – Nasional) Berikut adalah angka akumulatif perkembangan data kasus Covid-19 dari seluruh Indonesia hingga tanggal 11 Agustus 2021.
Penambahan Kasus Positif Turun
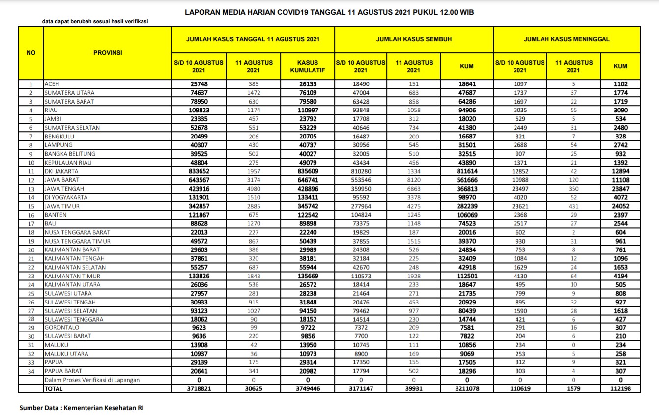
Total kasus positif dilaporkan kemarin sejumlah 3.718.821. Hari ini kasus positif terinfeksi COVID-19 dilaporkan bertambah sebanyak 30.625 kasus. Sehingga total akumulatif menjadi sejumlah 3.749.446 kasus positif. Dengan demikian terjadi penurunan kasus positif baru dari sejumlah 32.081 kasus kemarin menjadi 30.625 kasus.
Hari ini Jawa Tengah melaporkan kenaikan kasus positif baru menjadi 4.980 dibandingkan kemarin sebesar 4.560. Jawa Barat melaporkan penurunan kasus positif baru menjadi 3.174 dibandingkan kemarin sebesar 4.163. Jawa Timur melaporkan penurunan kasus positif baru menjadi 2.885 dibanding kemarin sebesar 3.618. DKI Jakarta melaporkan kenaikan kasus baru sejumlah 1.957 dibanding kemarin sebesar 1.425. Kalimantan Timur melaporkan kenaikan kasus baru sebesar 1.843 dibanding kemarin 1.546. DIY melaporkan kenaikan kasus baru sejumlah 1.510 dibanding kemarin sejumlah 1.487. Sumatera Utara melaporkan penurunan kasus positif baru menjadi 1.472 dibanding kemarin sebesar 1.753. Bali melaporkan penurunan kasus baru sejumlah 1.270 dibanding kemarin sejumlah 1.411. Riau melaporkan penurunan kasus baru sejumlah 1.174 dibanding kemarin sejumlah 1.235. Sulawesi Selatan melaporkan kenaikan kasus sebesar 1.027.
Dengan demikian ada 10 provinsi melaporkan kenaikan kasus di atas 1.000.
Selebihnya melaporkan kasus positif baru di bawah 1.000, dengan jumlah di atas 300 kasus adalah Sulawesi Tengah (915), NTT (867), Kalimantan Selatan (687), Banten (675), Sumatera Barat (630), Sumatera Selaan (551), Kalimantan Utara (536), Bangka Belitung (502), Jambi (457), Lampung (430), Kalimantan Barat (386), Aceh (385), Papua Barat (341), Kalimantan Tengah (320).
Sebaran 30.625 kasus baru tanggal 11 Agustus 2021:
– Jateng 4.980
– Jabar 3.174
– Jatim 2.885
– Jakarta 1.957
– Kaltim 1.843
– DIY 1.510
– Sumut 1.472
– Bali 1.270
– Riau 1.174
– Sulsel 1.027
– Sulteng 915
– NTT 867
– Kalsel 687
– Banten 675
– Sumbar 630
– Sumsel 551
– Kaltara 536
– Babel 502
– Jambi 457
– Lampung 430
– Kalbar 386
– Aceh 385
– Papbar 341
– Kalteng 320
– Sulut 281
– Kepri 275
– NTB 227
– Sulbar 220
– Bengkulu 206
– Papua 175
– Gorontalo 99
– Sultra 90
– Maluku 42
– Malut 36
Terdaftar provinsi yang tingkat penambahannya di bawah 10 kasus positif : TIDAK ADA.
Daftar provinsi yang tercatat tidak ada penambahan pasien terkonfirmasi positif Covid-19 : TIDAK ADA.
Persentase Sembuh Meningkat
Jumlah kasus sembuh kemarin adalah 3.171.147 orang dan hari ini dilaporkan bertambah 39.931 orang, sehingga total yang dinyatakan sembuh menjadi sejumlah 3.211.078. Jika kemarin dilaporkan bertambah 41.486 orang, maka hari ini sejumlah 39.931 kasus sembuh.
Dengan demikian persentase jumlah kasus sembuh meningkat menjadi 85,64% dibandingkan kemarin sebesar 85,21%.
Hal ini didapat jika dibandingkan total kasus positif sejumlah 3.749.446.
Angka kesembuhan tertinggi adalah Jawa Barat (8.120), Jawa Tengah (6.863), Jawa Timur (4.275), DI Yogyakarta (3.378), Kalimantan Timur (1.928), NTT (1.515), DKI Jakarta (1.334), Banten (1.245), Bali (1.148), Riau (1.058), Sulawesi Selatan (977), Sumatera Barat (858), Sumatera Selatan (734), Sumatera Utara (683), Lampung (545), Kalimantan Barat (526), Bangka Belitung (510), Papua Barat (502), Kepulauan Riau (456), Sulawesi Tengah (453), Jambi (312).
Jumlah Kasus Meninggal Baru Turun
Untuk kasus meninggal, jika kemarin diberitakan ada sejumlah 110.619 orang, maka hari ini bertambah sebanyak 1.579 orang, sehingga total kasus meninggal menjadi 112.198 orang. Dengan demikian jika kemarin tercatat 2.048 orang kasus meninggal maka hari ini terjadi penurunan kasus menjadi sejumlah 1.579 orang kasus meninggal.
Kasus Aktif Turun Kembali
Hari ini dilaporkan kasus aktif turun sejumlah 10.885 menjadi 426.170, dibandingkan kemarin turun sejumlah turun sejumlah 11.453 menjadi 437.055. Sejak tanggal 4 Agustus 2021 hingga harı ini kasus aktif turun dalam 8 harı berturut-turut.
Jumlah kasus suspek sejumlah 286.417 dan ada 210.815 spesimen, dibandingkan kemarin kasus suspek sejumlah 273.575 dan ada 241.152 spesimen.
Positivity Rate Harian Naik
Positive rate adalah jumlah hasil pemeriksaan yang dinyatakan positif dibagi keseluruhan jumlah total pemeriksaan. Secara harian maka ada penambahan orang yang ditest sejumlah 135.459 dengan 22,61% positive rate dibandingkan kemarin sejumlah 146.150 dengan 21,95% positive rate
Progress Harian Vaksinasi COVID-19
Berdasarkan laporan Kemenkes maka total sasaran vaksinasi secara keseluruhan sejumlah 208.265.720, terdiri dari Tenaga Kesehatan, Lanjut Usia, Petugas Publik, Masyarakat Rentan, Masyarakat Umum, Usia 12-17 tahun.
Hingga hari ini vaksinasi tahap pertama telah dilaksanakan total sejumlah 52,280,687 dengan persentase 25,10% (update 11 Agustus 2021 jam 12.00) dibandingkan kemarin sejumlah 51,759,158 dengan persentase 24,85% (update 10 Agustus 2021 jam 12.00)
Sedangkan vaksinasi tahap kedua telah dilaksanakan total sejumlah 25,723,609 dengan persentase 12,35% (update 11 Agustus 2021 jam 12.00) dibandingkan kemarin sejumlah 25,174,788 dengan persentase 12,09% (update 10 Agustus 2021 jam 12.00)
Data tersebut diambil dari 34 provinsi. Hingga saat ini seluruh provinsi sudah terdampak Covid-19.
Berikut adalah data COVID-19 di seluruh provinsi pada tanggal 11 Agustus 2021:










