(Vibizmedia – Nasional) Berikut adalah angka akumulatif perkembangan data kasus Covid-19 dari seluruh Indonesia hingga tanggal 23 Agustus 2021
Penambahan Kasus Positif Turun Lagi
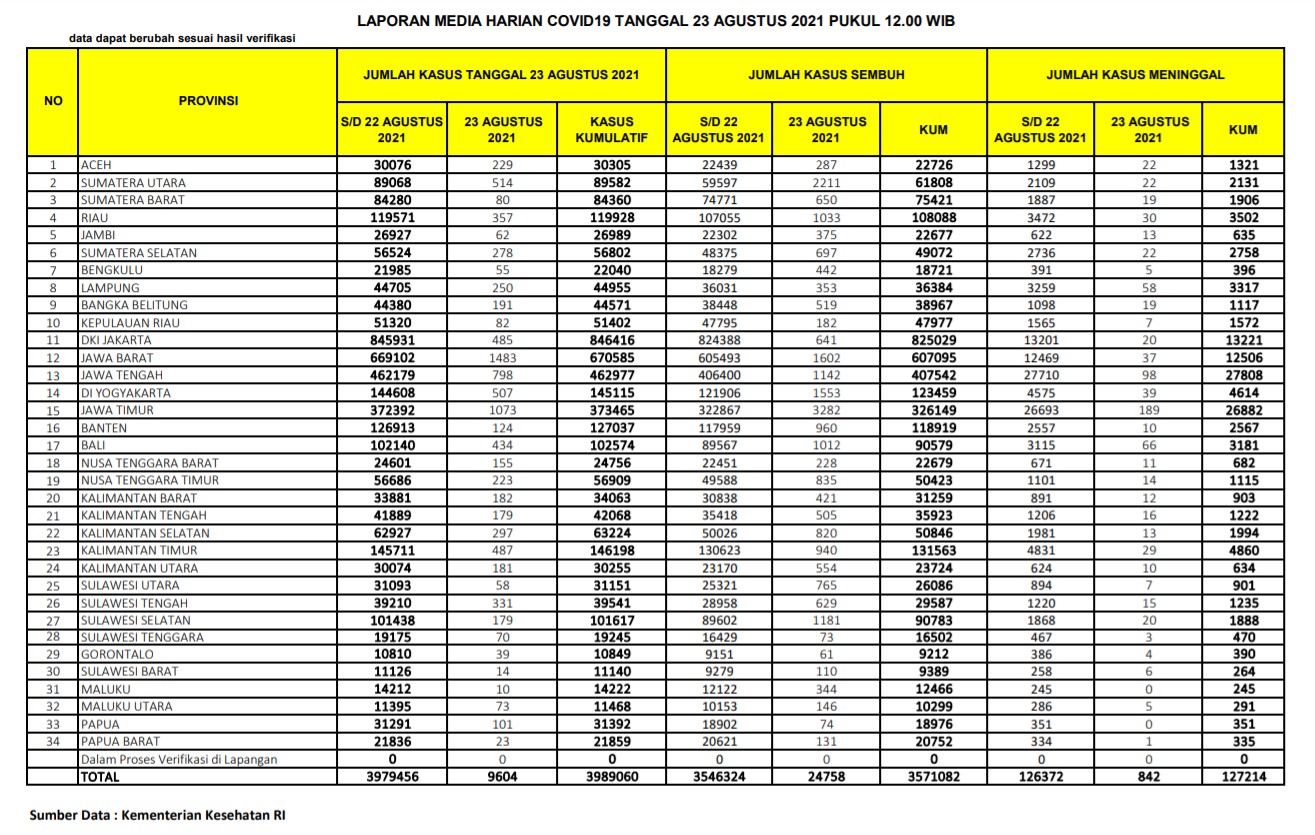
Total kasus positif dilaporkan kemarin sejumlah 3.979.456. Hari ini kasus positif terinfeksi COVID-19 dilaporkan bertambah sebanyak 9.604 kasus. Sehingga total akumulatif menjadi sejumlah 3.989.060 kasus positif. Dengan demikian terjadi penurunan kembali kasus positif baru dari sejumlah 12.408 kasus kemarin menjadi 9.604 kasus.
Dilaporkan hanya ada 2 provinsi melaporkan kenaikan kasus di atas 1.000. Jawa Barat melaporkan kenaikan kasus positif baru menjadi 1.483 dibandingkan kemarin sebesar 1.192. Jawa Timur melaporkan penurunan kasus positif baru menjadi 1.073 dibanding kemarin sebesar 1.301.
Selebihnya melaporkan kasus positif baru di bawah 1.000, dengan jumlah di atas 300 kasus adalah Jateng (798 kasus), Sumut (514 kasus), DIY (507 kasus), Kaltim (487 kasus), DKI Jakarta (485 kasus), Bali (434 kasus), Riau (357 kasus), Sulteng (331 kasus).
Sebaran 9.604 kasus baru tgl 23 Agustus 2021:
– Jabar 1.483
– Jatim 1.073
– Jateng 798
– Sumut 514
– DIY 507
– Kaltim 487
– Jakarta 485
– Bali 434
– Riau 357
– Sulteng 331
– Kalsel 297
– Sumsel 278
– Lampung 250
– Aceh 229
– NTT 223
– Babel 191
– Kalbar 182
– Kaltara 181
– Kalteng 179
– Sulsel 179
– NTB 155
– Banten 124
– Papua 101
– Kepri 82
– Sumbar 80
– Malut 73
– Sultra 70
– Jambi 62
– Sulut 58
– Bengkulu 55
– Gorontalo 39
– Papbar 23
– Sulbar 14
– Maluku 10
Terdaftar provinsi yang tingkat penambahannya di bawah 10 kasus positif : TIDAK ADA.
Daftar provinsi yang tercatat tidak ada penambahan pasien terkonfirmasi positif Covid-19 : TIDAK ADA.
Kasus Sembuh Naik dan Persentase Sembuh Meningkat
Jumlah kasus sembuh kemarin adalah 3.546.324 orang dan hari ini dilaporkan bertambah 24.758 orang, sehingga total yang dinyatakan sembuh menjadi sejumlah 3.571.082. Jika kemarin dilaporkan bertambah 24.276 orang, maka hari ini meningkat menjadi sejumlah 24.758 kasus sembuh.
Dengan demikian persentase jumlah kasus sembuh meningkat menjadi 89,52% dibandingkan kemarin sebesar 89,11%.
Hal ini didapat jika dibandingkan total kasus positif sejumlah 3.989.060.
Angka kesembuhan tertinggi adalah Jawa Timur (3.282 kasus), Sumatera Utara (2.211 kasus), Jawa Barat (1.602 kasus), DI Yogyakarta (1.553 kasus), Sulawesi Selatan (1.181 kasus), Jawa Tengah (1.142 kasus), Riau (1.033 kasus), Bali (1.012 kasus), Banten (960 kasus), Kalimantan Timur (940 kasus), NTT (835 kasus), Kalimantan Selatan (820 kasus), Sulawesi Utara (765 kasus), Sumatera Selatan (697 kasus), Sumatera Barat (650 kasus), DKI Jakarta (641 kasus), Sulawesi Tengah (629 kasus).
Jumlah Kasus Meninggal Baru Turun di Bawah 1.000
Untuk kasus meninggal, jika kemarin diberitakan ada sejumlah 126.372 orang, maka hari ini bertambah sebanyak 842 orang, sehingga total kasus meninggal menjadi 127.214 orang. Dengan demikian jika kemarin tercatat 1.030 orang kasus meninggal maka hari ini terjadi penurunan kasus menjadi sejumlah 842 orang kasus meninggal.
Kasus Aktif Turun di Bawah 300.000
Hari ini dilaporkan kasus aktif turun sejumlah 15.996 menjadi 290.764, dibandingkan kemarin turun sejumlah 12.898 menjadi 306.760. Sejak tanggal 4 Agustus 2021 hingga harı ini kasus aktif turun dalam 20 harı berturut-turut.
Jumlah kasus suspek sejumlah 268.947 dan ada 122.737 spesimen, dibandingkan kemarin kasus suspek sejumlah 262.664 dan ada 148.410 spesimen
Positivity Rate Harian Turun
Positive rate adalah jumlah hasil pemeriksaan yang dinyatakan positif dibagi keseluruhan jumlah total pemeriksaan. Secara harian maka ada penambahan orang yang ditest sejumlah 74.324 dengan 12,92% positive rate dibandingkan kemarin sejumlah 85.216 dengan 14.56% positive rate
Progress Harian Vaksinasi COVID-19
Berdasarkan laporan Kemenkes maka total sasaran vaksinasi secara keseluruhan sejumlah 208.265.720, terdiri dari Tenaga Kesehatan, Lanjut Usia, Petugas Publik, Masyarakat Rentan, Masyarakat Umum, Usia 12-17 tahun.
Hingga hari ini vaksinasi tahap pertama telah dilaksanakan total sejumlah 57,779,716 dengan persentase 27,74% (update 23 Agustus 2021 jam 12.00) dibandingkan kemarin sejumlah 57,340,729 dengan persentase 27,53% (update 22 Agustus 2021 jam 18.00).
Sedangkan vaksinasi tahap kedua telah dilaksanakan total sejumlah 32,046,224 dengan persentase 15,39% (update 23 Agustus 2021 jam 18.00) dibandingkan kemarin sejumlah 31,602,633 dengan persentase 15,17% (update 22 Agustus 2021 jam 18.00).
Data tersebut diambil dari 34 provinsi. Hingga saat ini seluruh provinsi sudah terdampak Covid-19.
Berikut adalah data COVID-19 di seluruh provinsi pada tanggal 23 Agustus 2021:










