Kasus Aktif Turun Selama Lebih Dari 3 Minggu, Persentase Sembuh Naik Capai 90,76%, Update COVID-19 Indonesia 26 Agustus 2021

0
528

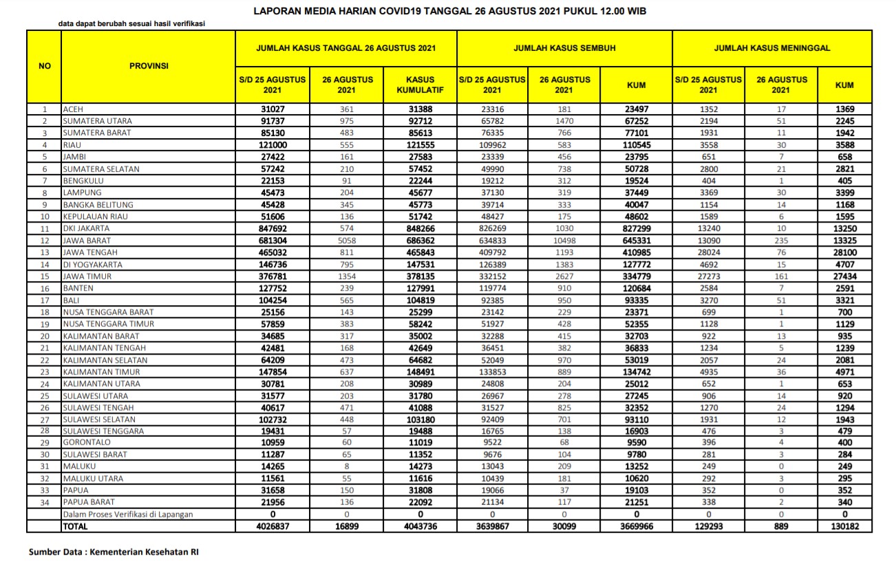
(Vibizmedia – Nasional) Berikut adalah angka akumulatif perkembangan data kasus Covid-19 dari seluruh Indonesia hingga tanggal 26 Agustus 2021

Penambahan Kasus Positif Turun

Total kasus positif dilaporkan kemarin sejumlah 4.026.837. Hari ini kasus positif terinfeksi COVID-19 dilaporkan bertambah sebanyak 16.899 kasus. Sehingga total akumulatif menjadi sejumlah 4.043.736 kasus positif. Dengan demikian terjadi penurunan kasus positif baru dari sejumlah 18.671 kasus kemarin menjadi 16.899 kasus.

Hanya ada 2 provinsi melaporkan kenaikan kasus di atas 1.000. Jawa Barat melaporkan kenaikan kasus positif baru menjadi 5.058 dibandingkan kemarin sebesar 5.464. Jawa Timur melaporkan penurunan kasus positif baru menjadi 1.354 dibanding kemarin sebesar 1.619.

Selebihnya melaporkan kasus positif baru di bawah 1.000, dengan jumlah di atas 300 kasus adalah Sumut (975 kasus), Jateng (811 kasus), DIY (795 kasus), Kaltim (637 kasus), DKI Jakarta (574 kasus), Bali (565 kasus), Riau (555 kasus), Sumbar (483 kasus),
Kalsel (473 kasus), Sulteng (471 kasus), Sulsel (448 kasus), NTT (383 kasus), Aceh (361 kasus), Bangka Belitung (345 kasus), Kalbar (317 kasus).

Sebaran 16.899 kasus baru tanggal 26 Agustus 2021:

– Jabar 5.058
– Jatim 1.354
– Sumut 975
– Jateng 811
– DIY 795
– Kaltim 637
– DKI Jakarta 574
– Bali 565
– Riau 555
– Sumbar 483
– Kalsel 473
– Sulteng 471
– Sulsel 448
– NTT 383
– Aceh 361
– Babel 345
– Kalbar 317
– Banten 239
– Sumsel 210
– Kaltara 208
– Lampung 204
– Sulut 203
– Kalteng 168
– Jambi 161
– Papua 150
– NTB 143
– Kepri 136
– Papbar 136
– Bengkulu 91
– Sulbar 65
– Gorontalo 60
– Sultra 57
– Malut 55
– Maluku 8

Terdaftar provinsi yang tingkat penambahannya di bawah 10 kasus positif ada 1 provinsi: Maluku.

Daftar provinsi yang tercatat tidak ada penambahan pasien terkonfirmasi positif Covid-19 : TIDAK ADA.

Persentase Sembuh Terus Meningkat

Jumlah kasus sembuh kemarin adalah 3.639.867 orang dan hari ini dilaporkan bertambah 30.099 orang, sehingga total yang dinyatakan sembuh menjadi sejumlah 3.669.966. Jika kemarin dilaporkan bertambah 33.703 orang, maka hari ini sejumlah 30.099 kasus sembuh.

Dengan demikian persentase jumlah kasus sembuh meningkat menjadi 90,76% dibandingkan kemarin sebesar 90,39%.

Hal ini didapat jika dibandingkan total kasus positif sejumlah 4.043.736.

Angka kesembuhan tertinggi adalah Jawa Barat (10.498 kasus), Jawa Timur (2.627 kasus), Sumatera Utara (1.470 kasus), DI Yogyakarta (1.383 kasus), Jawa Tengah (1.193 kasus), DKI Jakarta (1.030 kasus), Kalimantan Selatan (970 kasus), Bali (950), Banten (910), Kalimantan Timur (889 kasus), Sulawesi Tengah (974 kasus), Riau (825 kasus), Sumatera Barat (766), Sumatera Selatan (738 kasus), Sulawesi Selatan (701 kasus), Riau (583 kasus).

Jumlah Kasus Meninggal Baru Turun

Untuk kasus meninggal, jika kemarin diberitakan ada sejumlah 129.293 orang, maka hari ini bertambah sebanyak 889 orang, sehingga total kasus meninggal menjadi 130.182 orang. Dengan demikian jika kemarin tercatat 1.041 orang kasus meninggal maka hari ini terjadi penurunan kasus menjadi sejumlah 889 orang kasus meninggal.

Kasus Aktif Turun Lebih Dari 3 Minggu Berturut-turut

Hari ini dilaporkan kasus aktif turun sejumlah 14.089 menjadi 243.588, dibandingkan kemarin turun sejumlah 16.073 menjadi 257.677. Sejak tanggal 4 Agustus 2021 hingga harı ini kasus aktif turun dalam 23 harı atau lebih dari 3 minggu berturut-turut.

Jumlah kasus suspek sejumlah 243.588 dan ada 205.774 spesimen, dibandingkan kemarin kasus suspek sejumlah 258.191 dan ada 249.265 spesimen.

Positivity Rate Harian Naik

Positive rate adalah jumlah hasil pemeriksaan yang dinyatakan positif dibagi keseluruhan jumlah total pemeriksaan. Secara harian maka ada penambahan orang yang ditest sejumlah 128.623 dengan 13,14% positive rate dibandingkan kemarin sejumlah 146.788 dengan 12,72% positive rate

Progress Harian Vaksinasi COVID-19

Berdasarkan laporan Kemenkes maka total sasaran vaksinasi secara keseluruhan sejumlah 208.265.720, terdiri dari Tenaga Kesehatan, Lanjut Usia, Petugas Publik, Masyarakat Rentan, Masyarakat Umum, Usia 12-17 tahun.

Hingga hari ini vaksinasi tahap pertama telah dilaksanakan total sejumlah 59,426,934 dengan persentase 28,53% (update 26 Agustus 2021 jam 18.00) dibandingkan kemarin sejumlah 59,381,203 dengan persentase 28,51% (update 25 Agustus 2021 jam 18.00).

Sedangkan vaksinasi tahap kedua telah dilaksanakan total sejumlah 33,357,249 dengan persentase 16,02% (update 26 Agustus 2021 jam 18.00) dibandingkan kemarin sejumlah 33,344,151 dengan persentase 16,01% (update 25 Agustus 2021 jam 18.00)

Data tersebut diambil dari 34 provinsi. Hingga saat ini seluruh provinsi sudah terdampak Covid-19.

Berikut adalah data COVID-19 di seluruh provinsi pada tanggal 26 Agustus 2021:

LEAVE A REPLY

Please enter your comment!
Please enter your name here