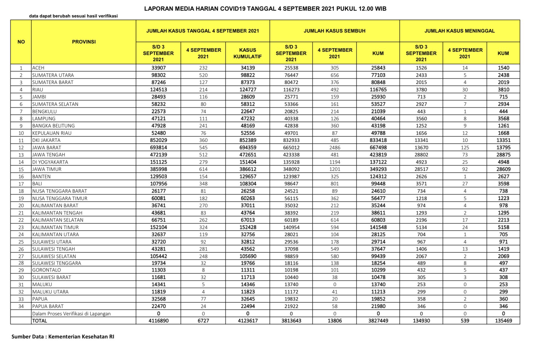
(Vibizmedia – Nasional) Berikut adalah angka akumulatif perkembangan data kasus Covid-19 dari seluruh Indonesia hingga tanggal 4 September 2021
Penambahan Kasus Positif Turun di Bawah 7.000
Total kasus positif dilaporkan kemarin sejumlah 4.116.890. Hari ini kasus positif terinfeksi COVID-19 dilaporkan bertambah sebanyak 6.727 kasus. Sehingga total akumulatif menjadi sejumlah 4.123.617 kasus positif. Dengan demikian terjadi kembali penurunan kasus positif baru dari sejumlah 7.797 kasus kemarin menjadi 6.727 kasus.
Hari ini tidak ada provinsi yang melaporkan penambahan kasus positif di atas 1.000.
Kasus tertinggi dengan jumlah di atas 300 kasus adalah Jatim (614 kasus), Jabar (545 kasus), Sumut (520 kasus), Jateng (512 kasus), DKI Jakarta (360 kasus), Bali (348 kasus), Kaltim (324 kasus).
Sebaran 6.727 kasus baru 4 September 2021:
– Jatim 614
– Jabar 545
– Sumut 520
– Jateng 512
– Jakarta 360
– Bali 348
– Kaltim 324
– Sulteng 281
– DIY 279
– Kalbar 270
– Kalsel 262
– Sulsel 248
– Babel 241
– Aceh 232
– Riau 214
– NTT 182
– Banten 154
– Sumbar 127
– Kaltara 119
– Jambi 116
– Lampung 111
– Sulut 92
– Kalteng 83
– NTB 81
– Sumsel 80
– Papua 77
– Kepri 76
– Bengkulu 74
– Sultra 32
– Sulbar 32
– Papbar 24
– Gorontalo 8
– Maluku 5
– Malut 4
Terdaftar provinsi yang tingkat penambahannya di bawah 10 kasus positif ada 3 provinsi: Gorontalo, Maluku, Maluku Utara .
Daftar provinsi yang tercatat tidak ada penambahan pasien terkonfirmasi positif Covid-19 : TIDAK ADA.
Persentase Sembuh Terus Meningkat
Jumlah kasus sembuh kemarin adalah 3.813.643 orang dan hari ini dilaporkan bertambah 13.806 orang, sehingga total yang dinyatakan sembuh menjadi sejumlah 3.827.449. Jika kemarin dilaporkan bertambah 15.544 orang, maka hari ini sejumlah 13.806 kasus sembuh.
Dengan demikian persentase jumlah kasus sembuh meningkat menjadi 92,82% dibandingkan kemarin sebesar 92,63%.
Hal ini didapat jika dibandingkan total kasus positif sejumlah 4.123.617.
Angka kesembuhan tertinggi adalah Jawa Barat (2.486 kasus), Jawa Timur (1.201 kasus), DI Yogyakarta (1.194 kasus), Bali (801 kasus), Sumatera Utara (656 kasus), Kalimantan Selatan (614 kasus), Kalimantan Timur (594 kasus), Sulawesi Tengah (549 kasus).
Jumlah Kasus Meninggal Baru Turun
Untuk kasus meninggal, jika kemarin diberitakan ada sejumlah 134.930 orang, maka hari ini bertambah sebanyak 539 orang, sehingga total kasus meninggal menjadi 135.469 orang. Dengan demikian jika kemarin tercatat 574 orang kasus meninggal maka hari ini terjadi penurunan kasus menjadi sejumlah 539 orang kasus meninggal.
Kasus Aktif Turun Selama 32 Hari
Hari ini dilaporkan kasus aktif turun sejumlah 7.618 menjadi 160.699, dibandingkan kemarin turun sejumlah 8.321 menjadi 168.317. Sejak tanggal 4 Agustus 2021 hingga harı ini kasus aktif terus turun selama 32 harı berturut-turut.
Jumlah kasus suspek sejumlah 259.246 dan ada 210.431 spesimen, dibandingkan kemarin kasus suspek sejumlah 256.777 dan ada 209.289 spesimen.
Positivity Rate Harian Turun
Positive rate adalah jumlah hasil pemeriksaan yang dinyatakan positif dibagi keseluruhan jumlah total pemeriksaan. Secara harian maka ada penambahan orang yang ditest sejumlah 128.302 dengan 5,24% positive rate dibanding kemarin sejumlah 128.343 dengan 6,08% positive rate.
Progress Harian Vaksinasi COVID-19
Berdasarkan laporan Kemenkes maka total sasaran vaksinasi secara keseluruhan sejumlah 208.265.720, terdiri dari Tenaga Kesehatan, Lanjut Usia, Petugas Publik, Masyarakat Rentan, Masyarakat Umum, Usia 12-17 tahun.
Hingga hari ini vaksinasi tahap pertama telah dilaksanakan total sejumlah 66,737,304 dengan persentase 32,04% (update 4 September 2021 jam 18.00) dibandingkan kemarin sejumlah 65,894,673 dengan persentase 31,64% (update 3 September 2021 jam 18.00).
Sedangkan vaksinasi tahap kedua telah dilaksanakan total sejumlah 38,207,984 dengan persentase 18,%35 (update 4 September 2021 jam 18.00) dibandingkan kemarin sejumlah 37,648,033 dengan persentase 18,08% (update 3 September 2021 jam 18.00).
Data tersebut diambil dari 34 provinsi. Hingga saat ini seluruh provinsi sudah terdampak Covid-19.
Berikut adalah data COVID-19 di seluruh provinsi pada tanggal 4 September 2021:










