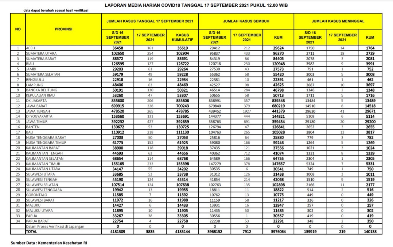
(Vibizmedia – Nasional) Berikut adalah angka akumulatif perkembangan data kasus Covid-19 dari seluruh Indonesia hingga tanggal 17 September 2021
Penambahan Kasus Positif di Bawah 4.000
Total kasus positif dilaporkan kemarin sejumlah 4.181.309. Hari ini kasus positif terinfeksi COVID-19 dilaporkan bertambah sebanyak 3.835 kasus. Sehingga total akumulatif menjadi sejumlah 4.185.144 kasus positif. Dengan demikian terjadi kenaikan kasus positif baru dari sejumlah 3.145 kasus kemarin menjadi 3.835 kasus.
Hari ini tidak ada provinsi yang melaporkan penambahan kasus positif di atas 1.000.
Kasus tertinggi dengan jumlah di atas 300 kasus adalah Jawa Barat (328 kasus) dan Jawa Timur (427 kasus).
Sebaran 3.835 kasus baru 17 September 2021:
– Jatim 427
– Jabar 328
– Jateng 265
– Sumut 254
– Kaltim 233
– Bali 218
– DKI Jakarta 206
– Aceh 161
– NTT 152
– DIY 131
– Babel 130
– Riau 127
– Sulteng 124
– Sulsel 124
– Sumbar 119
– Kalbar 118
– Kalsel 114
– Lampung 63
– Kalteng 63
– Jambi 61
– Kaltara 55
– Banten 53
– Sulut 53
– NTB 50
– Sumsel 49
– Kepri 47
– Papua 38
– Bengkulu 16
– Sulbar 16
– Sultra 13
– Malut 10
– Gorontalo 7
– Maluku 6
– Papbar 4
Terdaftar provinsi yang tingkat penambahannya di bawah 10 kasus positif ada 3 provinsi: Gorontalo, Maluku, Papua Barat.
Daftar provinsi yang tercatat tidak ada penambahan pasien terkonfirmasi positif Covid-19 : TIDAK ADA.
Persentase Sembuh Terus Meningkat
Jumlah kasus sembuh kemarin adalah 3.968.152 orang dan hari ini dilaporkan bertambah 7.912 orang, sehingga total yang dinyatakan sembuh menjadi sejumlah 3.976.064. Jika kemarin dilaporkan bertambah 14.633 orang, maka hari ini sejumlah 7.912 kasus sembuh.
Dengan demikian persentase jumlah kasus sembuh meningkat menjadi 95,00% dibandingkan kemarin sebesar 94,90%.
Hal ini didapat jika dibandingkan total kasus positif sejumlah 4.185.144.
Angka kesembuhan tertinggi adalah Jawa Tengah (1.927 kasus), Jawa Timur (691 kasus), Kalimantan Tengah (712 kasus), DI Yogyakarta (444 kasus).
Jumlah Kasus Meninggal Baru Turun
Untuk kasus meninggal, jika kemarin diberitakan ada sejumlah 139.919 orang, maka hari ini bertambah sebanyak 219 orang, sehingga total kasus meninggal menjadi 140.138 orang. Dengan demikian jika kemarin tercatat 237 orang kasus meninggal maka hari ini terjadi penurunan kasus menjadi sejumlah 219 orang kasus meninggal.
Kasus Aktif Turun di Bawah 70.000
Hari ini dilaporkan kasus aktif turun, kini sudah di bawah 70.000, yaitu turun sejumlah 4.296 menjadi 68.942, dibandingkan kemarin turun sejumlah 11.725 menjadi 73.238. Sejak tanggal 4 Agustus 2021 hingga harı ini kasus aktif terus turun selama 45 harı berturut-turut.
Jumlah kasus suspek sejumlah 234.397 dan ada 388.292 spesimen, dibandingkan kemarin kasus suspek sejumlah 354.479 dan ada 99.130 spesimen.
Positivity Rate Harian Turun Drastis
Positive rate adalah jumlah hasil pemeriksaan yang dinyatakan positif dibagi keseluruhan jumlah total pemeriksaan. Secara harian maka ada penambahan orang yang ditest sejumlah 293.454 dengan 1,31% positive rate dibanding kemarin sejumlah 54.766 dengan 5,74% positive rate. Persentase ini rekor terendah yang pernah dicapai di Indonesia selama pandemi.
Progress Harian Vaksinasi COVID-19
Berdasarkan laporan Kemenkes maka total sasaran vaksinasi secara keseluruhan sejumlah 208.265.720, terdiri dari Tenaga Kesehatan, Lanjut Usia, Petugas Publik, Masyarakat Rentan, Masyarakat Umum, Usia 12-17 tahun.
Hingga hari ini vaksinasi tahap pertama telah dilaksanakan total sejumlah 77,889,679 dengan persentase 37,40% (update 17 September 2021 jam 18.00) dibandingkan kemarin sejumlah 76,583,981 dengan persentase 36,77% (update 16 September 2021 jam 18.00).
Sedangkan vaksinasi tahap kedua telah dilaksanakan total sejumlah 44,332,619 dengan persentase 21,29% (update 17 September 2021 jam 18.00) dibandingkan kemarin sejumlah 43,744,152 dengan persentase 21,00% (update 16 September 2021 jam 18.00).
Data tersebut diambil dari 34 provinsi. Hingga saat ini seluruh provinsi sudah terdampak Covid-19.
Berikut adalah data COVID-19 di seluruh provinsi pada tanggal 17 September 2021:










