
(Vibizmedia – Nasional) Juru Bicara Pemerintah untuk Penanganan Covid-19, dr. Achmad Yurianto, di Graha BNPB, hari ini kembali menyampaikan update angka akumulatif perkembangan data kasus Covid-19 dari seluruh Indonesia hingga tanggal 22 Juni 2020.
Mari kita melihat penambahannya adalah sebagai berikut:
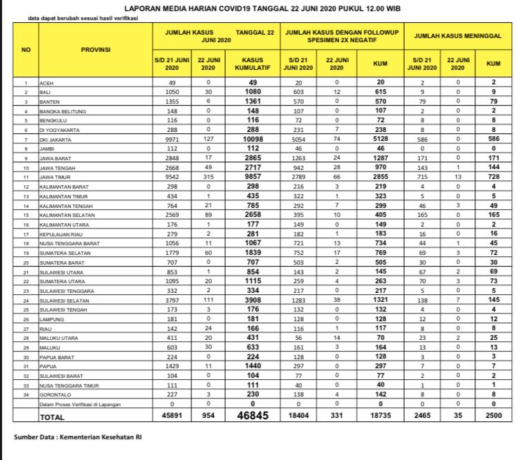
Dari total 45.891 kasus positif terinfeksi Covid-19 yang diberitakan kemarin, maka hari ini bertambah sebanyak 954 kasus menjadi 46.845 kasus positif akumulatif. Dengan demikian telah terjadi kenaikan dalam pertambahan kasus dari 862 kasus kemarin menjadi 954 kasus. Beberapa provinsi yang cenderung tinggi yaitu Jawa Timur (315 kasus baru), Sulawesi Selatan (111 kasus baru), DKI Jakarta (127 kasus baru), Sumatera Selatan (60 kasus baru), dan Kalimantan Selatan (89 kasus baru).
Sedangkan jumlah pasien yang dinyatakan sudah sembuh dan diijinkan pulang, dari total 18.404 orang yang diberitakan kemarin, bertambah 331 orang menjadi 18.735 orang. Maka bagi yang telah dinyatakan sembuh, jika kemarin bertambah 521 orang, hari ini bertambah 331 orang.
Untuk pertambahan kasus meninggal, maka dari total 2.465 orang yang diberitakan meninggal kemarin, bertambah sebanyak 35 orang menjadi 2.500 orang. Dengan demikian pertambahan kasus meninggal ada penurunan, jika kemarin tercatat 36 orang maka jumlah yang meninggal pada hari ini yaitu 35 orang.
Pada tanggal 22 Juni 2020 jumlah orang dalam pemantauan (ODP) sejumlah 43.500 orang, telah terjadi penurunan dibandingkan kemarin tercatat sejumlah 56.436, sedangkan pasien dalam pengawasan (PDP) sejumlah 12.999 orang, telah terjadi penurunan dibanding kemarin tercatat sejumlah 13.225.
Data tersebut diambil dari 34 provinsi dan 440 kabupaten/kota di Tanah Air (sebelumnya 439). Hingga saat ini seluruh provinsi sudah terdampak Covid-19.
Akumulasi data tersebut diambil dari hasil uji spesimen sebanyak 650.311 specimen yang dilakukan menggunakan metode Polymerase Chain Reaction (PCR) dan TCM (Test Cepat Molekuler) di 248 laboratorium (sebelumnya 245). Dari sejumlah 393.117 orang yang diperiksa mendapat hasil (kumulatif) 46.845 positif dan 346.272 negatif.
Hingga tanggal 22 Juni 2020 maka berikut akumulatif daftar jumlah penderita positif di seluruh provinsi :
Terdaftar ada 19 provinsi yang tingkat penambahannya di bawah 10: Banten, Kalimantan Timur, Kalimantan Utara, Kepulauan Riau, Sulawesi Utara, Sulawesi Tenggara, Sulawesi Tengah, Gorontalo, Aceh, Bangka Belitung, Bengkulu, DI Yogyakarta, Jambi, Kalimantan Barat, Sumatera Barat, Lampung, Papua Barat, Sulawesi Barat, Nusa Tenggara Timur.
Daftar provinsi yang tercatat tidak ada penambahan pasien terkonfirmasi positif Covid-19 ada 11 provinsi yaitu: Aceh, Bangka Belitung, Bengkulu, DI Yogyakarta, Jambi, Kalimantan Barat, Sumatera Barat, Lampung, Papua Barat, Sulawesi Barat, Nusa Tenggara Timur.









