
(Vibizmedia – Nasional) Juru Bicara Pemerintah untuk Penanganan Covid-19, dr. Achmad Yurianto, di Graha BNPB, hari ini kembali menyampaikan update angka akumulatif perkembangan data kasus Covid-19 dari seluruh Indonesia hingga tanggal 27 Juni 2020.
Mari kita melihat penambahannya adalah sebagai berikut:
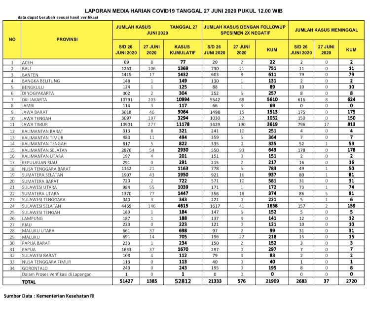
Dari total 51.427 kasus positif terinfeksi Covid-19 yang diberitakan kemarin, maka hari ini bertambah sebanyak 1.385 kasus menjadi 52.812 kasus positif akumulatif. Dengan demikian telah terjadi kenaikan dalam pertambahan kasus dari 1.240 kasus kemarin menjadi 1.385 kasus. Beberapa provinsi yang cenderung tinggi yaitu Jawa Timur (277 kasus baru), Sulawesi Selatan (146 kasus baru), DKI Jakarta (203 kasus baru), Bali (106 kasus baru), dan Jawa Tengah (197 kasus baru).
Sedangkan jumlah pasien yang dinyatakan sudah sembuh dan diijinkan pulang, dari total 21.333 orang yang diberitakan kemarin, bertambah 576 orang menjadi 21.909 orang. Maka bagi yang telah dinyatakan sembuh, jika kemarin bertambah 884 orang, hari ini bertambah 576 orang.
Untuk pertambahan kasus meninggal, maka dari total 2.683 orang yang diberitakan meninggal kemarin, bertambah sebanyak 37 orang menjadi 2.720 orang. Dengan demikian pertambahan kasus meninggal ada penurunan, jika kemarin tercatat 63 orang maka jumlah yang meninggal pada hari ini yaitu 37 orang.
Pada tanggal 27 Juni 2020 jumlah orang dalam pemantauan (ODP) sejumlah 40.541 orang, telah terjadi kenaikan dibandingkan kemarin tercatat sejumlah 38.381, sedangkan pasien dalam pengawasan (PDP) sejumlah 13.522 orang, telah terjadi kenaikan dibanding kemarin tercatat sejumlah 13.506.
Data tersebut diambil dari 34 provinsi dan 448 kabupaten/kota di Tanah Air. Hingga saat ini seluruh provinsi sudah terdampak Covid-19.
Akumulasi data tersebut diambil dari hasil uji spesimen sebanyak 753.370 specimen yang dilakukan menggunakan metode Polymerase Chain Reaction (PCR) dan TCM (Test Cepat Molekuler) di 259 laboratorium (sebelumnya 251). Dari sejumlah 449.569 orang yang diperiksa mendapat hasil (kumulatif) 52.812 positif dan 396.757 negatif.
Hingga tanggal 27 Juni 2020 maka berikut akumulatif daftar jumlah penderita positif di seluruh provinsi :
Terdaftar ada 18 provinsi yang tingkat penambahannya di bawah 10: Aceh, Bangka Belitung, Bengkulu, DI Yogyakarta, Jambi, Kalimantan Barat, Kalimantan Tengah, Kalimantan Utara, Sumatera Barat, Sulawesi Tenggara, Sulawesi Tengah, Lampung, Papua Barat, Sulawesi Barat, Kepulauan Riau, Riau, Nusa Tenggara Timur, Gorontalo.
Daftar provinsi yang tercatat tidak ada penambahan pasien terkonfirmasi positif Covid-19 ada 4 provinsi yaitu: Kepulauan Riau, Riau, Nusa Tenggara Timur, Gorontalo.









