
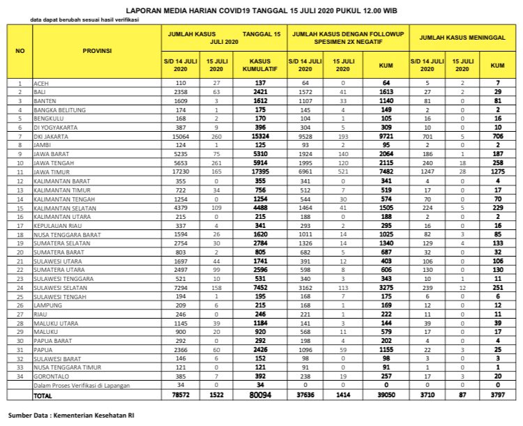
(Vibizmedia – Nasional) Juru Bicara Pemerintah untuk Penanganan Covid-19, dr. Achmad Yurianto, di Graha BNPB, menyampaikan update angka akumulatif perkembangan data kasus Covid-19 dari seluruh Indonesia hingga tanggal 15 Juli 2020 khususnya jumlah yang telah dinyatakan disembuhkan total.
Ia menyatakan bahwa jumlah pasien yang dinyatakan sudah sembuh dan diijinkan pulang, dari total 37.636 orang yang diberitakan kemarin, bertambah 1.414 orang menjadi 39.050 orang. Maka bagi yang telah dinyatakan sembuh maka ada kenaikan yang cukup tinggi, jika kemarin bertambah 947 orang, hari ini bertambah 1.414 orang.
Angka total 39.050 menunjukkan bahwa kasus sembuh adalah sejumlah hampir setengah dari keseluruhan total kasus positif yaitu sejumlah 80.094 kasus positif akumulatif. Suatu jumlah angka yang menggembirakan.
Mari kita melihat juga update penambahan data secara rinci:
Beberapa provinsi yang cenderung tinggi mengabarkan adanya cukup banyak kasus sembuh di sana yaitu Jawa Timur ( 521 kasus ), DKI Jakarta (193 kasus), Sulawesi Selatan (113 kasus), Kalimantan Selatan (41 kasus), Sumatera Utara (41 kasus), Jawa Tengah (120 kasus), Jawa Barat ( 140 kasus ), Papua (59 kasus), Bali (41 kasus), Banten (33 kasus), Kalimantan Tengah (30 kasus).








