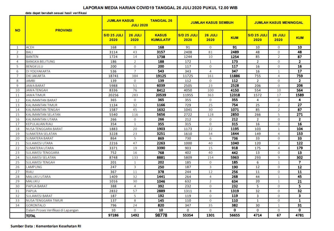
(Vibizmedia – Nasional) Berikut adalah update angka akumulatif jumlah kasus yang telah dinyatakan sembuh total dari Covid-19 dari seluruh Indonesia hingga tanggal 26 Juli 2020.
Sedangkan jumlah pasien yang dinyatakan sudah sembuh dan diijinkan pulang terus bertambah dan semakin banyak , dari total 55.354 orang yang diberitakan kemarin, bertambah 1.301 orang menjadi 56.655 orang. Maka bagi yang telah dinyatakan sembuh, jika kemarin bertambah 1.409 orang, hari ini bertambah 1.301 orang.
Angka total 56.655 menunjukkan bahwa jumlah kasus sembuh lebih dari setengah keseluruhan total kasus positif , yaitu sejumlah 57,35 % jika dibandingkan kasus positif akumulatif yang sejumlah 98.778. Suatu jumlah angka yang menggembirakan, naik dibanding kemarin prosentasenya sejumlah 56,89 %.
Beberapa provinsi yang melaporkan cukup banyak kasus yang sembuh yaitu Jawa Timur (363), DKI Jakarta (161), Sulawesi Selatan (154), Kalimantan Selatan (128), Jawa Tengah (100), Bali (81 kasus), Sulawesi Utara (40), Sulawesi Tenggara (40), Sumatera Selatan (34).
Berikut adalah data COVID-19 di seluruh provinsi pada tanggal 26 Juli 2020:









