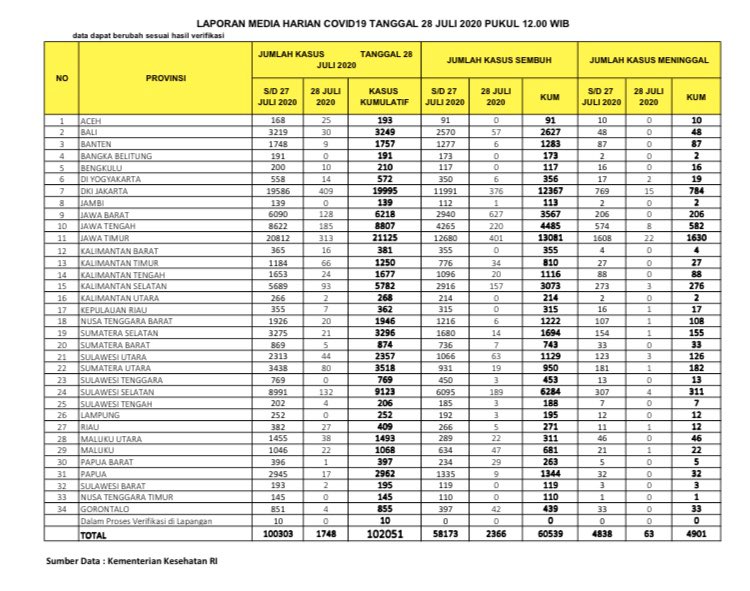
(Vibizmedia – Nasional) Berikut adalah update angka akumulatif jumlah kasus yang telah dinyatakan sembuh total dari Covid-19 dari seluruh Indonesia hingga tanggal 28 Juli 2020.
Sedangkan jumlah pasien yang dinyatakan sudah sembuh dan diijinkan pulang terus bertambah dan semakin banyak , dari total 58.173 orang yang diberitakan kemarin, bertambah 2.366 orang menjadi 60.539 orang. Maka bagi yang telah dinyatakan sembuh ada kenaikan, jika kemarin bertambah 1.518 orang, hari ini bertambah 2.366 orang.
Angka total 60.539 menunjukkan bahwa jumlah kasus sembuh lebih dari setengah keseluruhan total kasus positif , yaitu sejumlah 59,32 % jika dibandingkan kasus positif akumulatif yang sejumlah 102.051 Suatu jumlah angka yang menggembirakan, naik dibanding kemarin prosentasenya sejumlah 57,99 %.
Beberapa provinsi yang melaporkan cukup banyak kasus yang sembuh yaitu Jawa Barat (627), Jawa Timur (401), DKI Jakarta (376), Jawa Tengah (220), Sulawesi Selatan (189), Kalimantan Selatan (157), Sulawesi Utara (63), Bali (57 kasus), Maluku (47).
Berikut adalah data COVID-19 di seluruh provinsi pada tanggal 28 Juli 2020:










