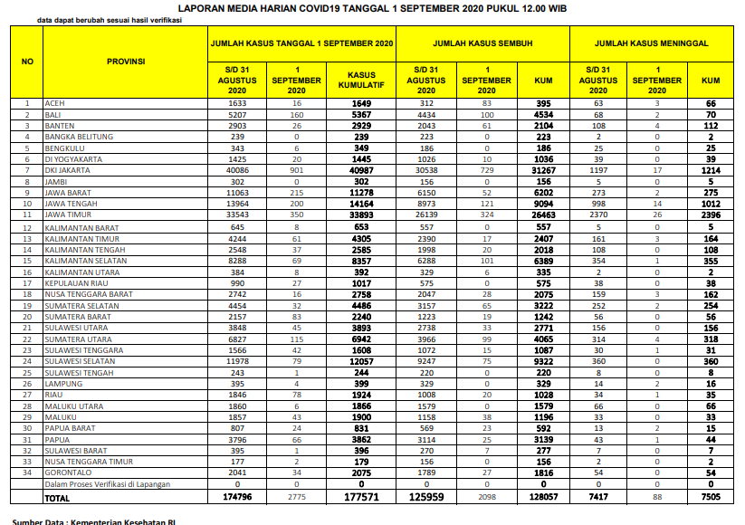
(Vibizmedia – Nasional) Berikut adalah update angka akumulatif jumlah kasus yang telah dinyatakan sembuh total dari Covid-19 dari seluruh Indonesia hingga tanggal 1 September 2020.
Sedangkan jumlah pasien yang dinyatakan sudah sembuh dan diijinkan pulang terus bertambah dan semakin banyak , dari total 125.959 orang yang diberitakan kemarin, bertambah 2.098 orang menjadi 128.057 orang. Maka bagi yang telah dinyatakan sembuh, jika kemarin bertambah 1.774 orang, hari ini bertambah 2.098 orang.
Angka total 128.057 menunjukkan bahwa prosentase jumlah kasus sembuh semakin meningkat, yaitu sejumlah 72,11 % jika dibandingkan kasus positif akumulatif sejumlah 177.571.
Beberapa provinsi yang melaporkan cukup banyak kasus yang sembuh yaitu DKI Jakarta (729), Jawa Timur (324), Jawa Tengah (121), Kalimantan Selatan (101), Bali (100), Sumatera Utara (99), Aceh (83), Sulawesi Selatan (75), Sumatera Selatan (65), Banten (61), Jawa Barat (52).
Berikut adalah data COVID-19 di seluruh provinsi pada tanggal 1 September 2020:










