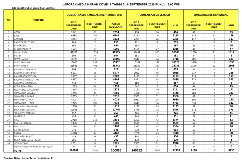
(Vibizmedia – Nasional) Berikut adalah update angka akumulatif jumlah kasus yang telah dinyatakan sembuh total dari Covid-19 dari seluruh Indonesia hingga tanggal 8 September 2020.
Sedangkan jumlah pasien yang dinyatakan sudah sembuh dan diijinkan pulang terus bertambah dan semakin banyak , dari total 140.652 orang yang diberitakan kemarin, bertambah 2.306 orang menjadi 142.958 orang. Maka bagi yang telah dinyatakan sembuh, jika kemarin bertambah 2.077 orang, hari ini bertambah 2.306 orang.
Angka total 142.958 menunjukkan bahwa persentase jumlah kasus sembuh semakin meningkat, yaitu sejumlah 71,46 % jika dibandingkan kasus positif akumulatif sejumlah 200.035.
Beberapa provinsi yang melaporkan cukup banyak kasus yang sembuh yaitu DKI Jakarta (929), Jawa Timur (342), Jawa Tengah (148), Bali (114), Sulawesi Selatan (100), Sumatera Utara (86), Jawa Barat (76), Aceh (60), Kalimantan Timur (56), Sumatera Barat (51), Maluku (47), Riau (43).
Berikut adalah data COVID-19 di seluruh provinsi pada tanggal 8 September 2020:










