Terus Meningkat Kasus Sembuh COVID-19 di Indonesia 19 September 2020: Persentasenya 72,43 %

0
858

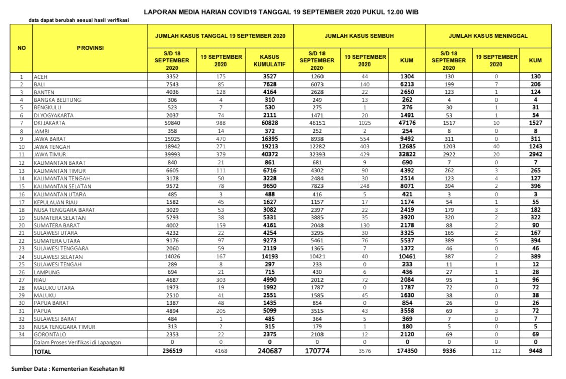
(Vibizmedia – Nasional)  Berikut adalah update angka akumulatif jumlah  kasus yang telah dinyatakan sembuh total dari Covid-19 dari seluruh Indonesia hingga tanggal 19 September 2020.

Sedangkan jumlah pasien yang dinyatakan sudah sembuh dan diijinkan pulang terus bertambah dan semakin banyak , dari total 170.774  orang yang diberitakan kemarin, bertambah 3.576 orang menjadi 174.350 orang. Maka bagi yang telah dinyatakan sembuh, jika kemarin bertambah 4.088  orang, hari ini bertambah 3.576 orang.

Angka total 174.350  menunjukkan bahwa persentase jumlah kasus sembuh semakin meningkat, yaitu  sejumlah 72,43 %  jika dibandingkan kasus positif akumulatif sejumlah 240.687

Beberapa provinsi yang melaporkan cukup banyak kasus yang sembuh yaitu DKI Jakarta (1.025), Jawa Barat (554), Jawa Timur (429),  Jawa Tengah (403), Kalimantan Selatan (248), Bali (140), Sumatera Barat (130),    Kalimantan Timur (90), Sumatera Utara (76), Maluku Utara (72), Maluku (45), Papua (43), Aceh (44).

Breaking News Covid-19 di Indonesia 19 September 2020: Bertambah 4.168, Total Positif Kini 240.687

Berikut adalah data COVID-19 di seluruh provinsi pada tanggal 19 September 2020:

LEAVE A REPLY

Please enter your comment!
Please enter your name here