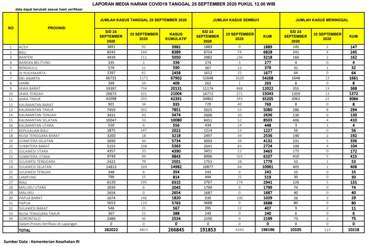
(Vibizmedia – Nasional) Berikut adalah update angka akumulatif jumlah kasus yang telah dinyatakan sembuh total dari Covid-19 dari seluruh Indonesia hingga tanggal 25 September 2020.
Sedangkan jumlah pasien yang dinyatakan sudah sembuh dan diijinkan pulang terus bertambah dan semakin banyak , dari total 191.853 orang yang diberitakan kemarin, bertambah 4.343 orang menjadi 196.196 orang. Maka bagi yang telah dinyatakan sembuh, jika kemarin bertambah 3.895 orang, hari ini bertambah 4.343 orang.
Angka total 196.196 menunjukkan bahwa persentase jumlah kasus sembuh semakin meningkat, yaitu sejumlah 73,52 % jika dibandingkan kasus positif akumulatif sejumlah 266.845.
Beberapa provinsi yang melaporkan cukup banyak kasus yang sembuh yaitu: DKI Jakarta (1620), Jawa Barat (848), Jawa Timur (343), Jawa Tengah (271), Banten (236), Riau (174), Sumatera Utara (101), Papua Barat (100), Sulawesi Selatan (84), Sumatera Barat (83), Bali (74), Kalimantan Timur (55), Kalimantan Selatan (52).
Breaking News Covid-19 di Indonesia 25 September 2020: Bertambah 4.823 Total Positif Kini 266.845
Berikut adalah data COVID-19 di seluruh provinsi pada tanggal 25 September 2020:










