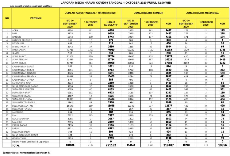
(Vibizmedia – Nasional) Berikut adalah update angka akumulatif jumlah kasus yang telah dinyatakan sembuh total dari Covid-19 dari seluruh Indonesia hingga tanggal 1 Oktober 2020.
Sedangkan jumlah pasien yang dinyatakan sudah sembuh dan diijinkan pulang terus bertambah dan semakin banyak , dari total 214.947 orang yang diberitakan kemarin, bertambah 3.540 orang menjadi 218.487 orang. Maka bagi yang telah dinyatakan sembuh, jika kemarin bertambah 4.510 orang, hari ini bertambah 3.540 orang.
Angka total 218.487 menunjukkan bahwa persentase jumlah kasus sembuh semakin meningkat, yaitu sejumlah 75,03 % jika dibandingkan kasus positif akumulatif sejumlah 291.182 .
Beberapa provinsi yang melaporkan cukup banyak kasus yang sembuh yaitu: DKI Jakarta (1122), Jawa Timur (323), Riau (279), Sulawesi Selatan (237), Jawa Tengah (187), Aceh (162), Sumatera Utara (152), Banten (137), Jawa Barat (128), Bali (122), Kalimantan Selatan (73), Sumatera Selatan (65), Maluku (59), DI Yogyakarta (49).
Breaking News Covid-19 di Indonesia 1 Oktober 2020: Bertambah 4.174 Total Positif Kini 291.182
Berikut adalah data COVID-19 di seluruh provinsi pada tanggal 1 Oktober 2020:










