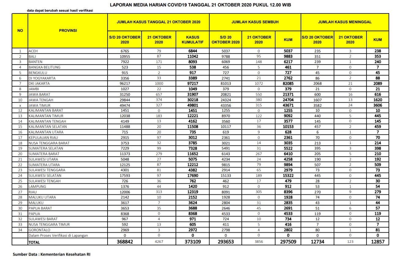
(Vibizmedia – Nasional) Berikut adalah update angka akumulatif jumlah kasus yang telah dinyatakan sembuh total dari Covid-19 dari seluruh Indonesia hingga tanggal 21 Oktober 2020.
Sedangkan jumlah pasien yang dinyatakan sudah sembuh dan diijinkan pulang terus bertambah dan semakin banyak, dari total 293.653 orang yang diberitakan kemarin, bertambah 3.856 orang menjadi 297.509 orang. Maka bagi yang telah dinyatakan sembuh, jika kemarin bertambah 4.410 orang, hari ini bertambah 3.856 orang.
Angka total 297.509 menunjukkan bahwa persentase jumlah kasus sembuh semakin meningkat, yaitu sejumlah 79,73% jika dibandingkan kasus positif akumulatif sejumlah 373.109.
Beberapa provinsi yang melaporkan cukup banyak kasus yang sembuh yaitu: DKI Jakarta (1072), Jawa Barat (550), Jawa Tengah (380), Jawa Timur (315), Riau (305), Sumatera Barat (267), Sulawesi Selatan (189), Banten (148), Kalimantan Timur (122), Bali (95), Sumatera Utara (79), Sulawesi Tenggara (65), Papua Barat (45).
Breaking News Covid-19 di Indonesia 21 Oktober 2020: Bertambah 4.267 Total Positif Kini 373.109
Berikut adalah data COVID-19 di seluruh provinsi pada tanggal 21 Oktober 2020:










