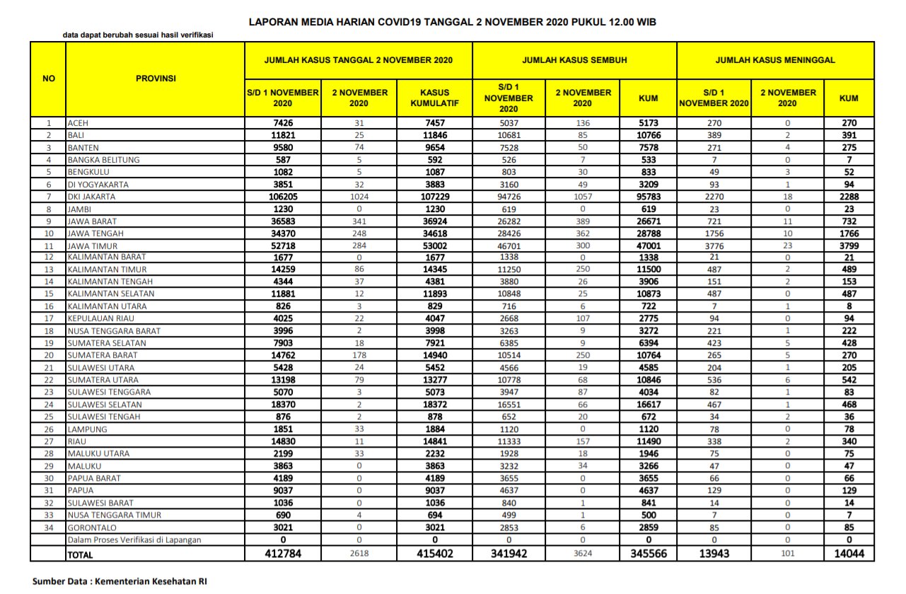
(Vibizmedia – Nasional) Berikut adalah update angka akumulatif jumlah kasus yang telah dinyatakan sembuh total dari Covid-19 dari seluruh Indonesia hingga tanggal 2 November 2020.
Sedangkan jumlah pasien yang dinyatakan sudah sembuh dan diijinkan pulang terus bertambah dan semakin banyak, dari total 341.942 orang yang diberitakan kemarin, bertambah 3.624 orang menjadi 345.566 orang. Maka bagi yang telah dinyatakan sembuh, jika kemarin bertambah 4.141 orang, hari ini bertambah 3.624 orang.
Angka total 345.566 menunjukkan bahwa persentase jumlah kasus sembuh cukup tinggi dan makin meningkat, yaitu sejumlah 83,83% jika dibandingkan kasus positif akumulatif sejumlah 415.402.
Beberapa provinsi yang melaporkan cukup banyak kasus yang sembuh yaitu: DKI Jakarta (1057), Jawa Barat (389), Jawa Tengah (362), Jawa Timur (300), Sumatera Barat (250), Kalimantan Timur (250), Riau (157), Aceh (136), Kepulauan Riau (107), Sulawesi Tenggara (87), Bali (85), Sumatera Utara (68), Sulawesi Selatan (66), Banten (50), DI Yogyakarta (49).
Berikut adalah data COVID-19 di seluruh provinsi pada tanggal 2 November 2020:









