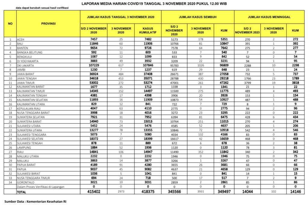
(Vibizmedia – Nasional) Berikut adalah update angka akumulatif jumlah kasus yang telah dinyatakan sembuh total dari Covid-19 dari seluruh Indonesia hingga tanggal 3 November 2020.
Sedangkan jumlah pasien yang dinyatakan sudah sembuh dan diijinkan pulang terus bertambah dan semakin banyak, dari total 345.566 orang yang diberitakan kemarin, bertambah 3.931 orang menjadi 349.497 orang. Maka bagi yang telah dinyatakan sembuh, jika kemarin bertambah 3.624 orang, hari ini bertambah 3.931 orang.
Angka total 349.497 menunjukkan bahwa persentase jumlah kasus sembuh cukup tinggi dan makin meningkat, yaitu sejumlah 83,53% jika dibandingkan kasus positif akumulatif sejumlah 418.375.
Beberapa provinsi yang melaporkan cukup banyak kasus yang sembuh yaitu: DKI Jakarta (1026), Jawa Tengah (430), Jawa Barat (387), Riau (352), Kalimantan Timur (275), Jawa Timur (261), Sumatera Barat (251), Aceh (178), Sulawesi Tenggara (132), Bali (81), Sumatera Selatan (81), Sumatera Utara (72), Banten (64), Kalimantan Selatan (54), Sulawesi Utara (52), Sulawesi Selatan (42).
Breaking News Covid-19 di Indonesia 3 November 2020: Bertambah 2.973 Total Positif 418.375
Berikut adalah data COVID-19 di seluruh provinsi pada tanggal 3 November 2020:










