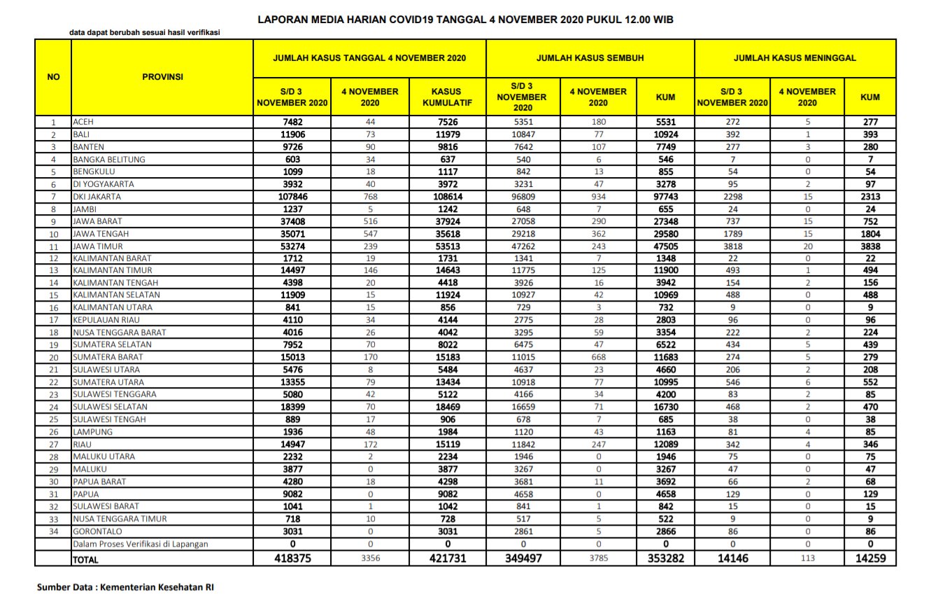
(Vibizmedia – Nasional) Berikut adalah update angka akumulatif jumlah kasus yang telah dinyatakan sembuh total dari Covid-19 dari seluruh Indonesia hingga tanggal 4 November 2020.
Sedangkan jumlah pasien yang dinyatakan sudah sembuh dan diijinkan pulang terus bertambah dan semakin banyak, dari total 349.497 orang yang diberitakan kemarin, bertambah 3.785 orang menjadi 353.282 orang. Maka bagi yang telah dinyatakan sembuh, jika kemarin bertambah 3.931 orang, hari ini bertambah 3.785 orang.
Angka total 353.282 menunjukkan bahwa persentase jumlah kasus sembuh cukup tinggi dan makin meningkat, yaitu sejumlah 83,76% jika dibandingkan kasus positif akumulatif sejumlah 421.731.
Beberapa provinsi yang melaporkan cukup banyak kasus yang sembuh yaitu: DKI Jakarta (934), Sumatera Barat (668), Jawa Tengah (362), Jawa Barat (290), Riau (247), Jawa Timur (243), Aceh (180), Kalimantan Timur (125), Banten (107), Bali (77), Sumatera Utara (77), Sulawesi Selatan (71), Nusa Tenggara Barat (59), Sulawesi Selatan (71), Lampung (43).
Breaking News Covid-19 di Indonesia 4 November 2020: Bertambah 3.356 Total Positif 421.731
Berikut adalah data COVID-19 di seluruh provinsi pada tanggal 4 November 2020:










