Makin Meningkat Kasus Sembuh COVID-19 di Indonesia 13 November 2020: Persentasenya Capai 84,13%

0
731

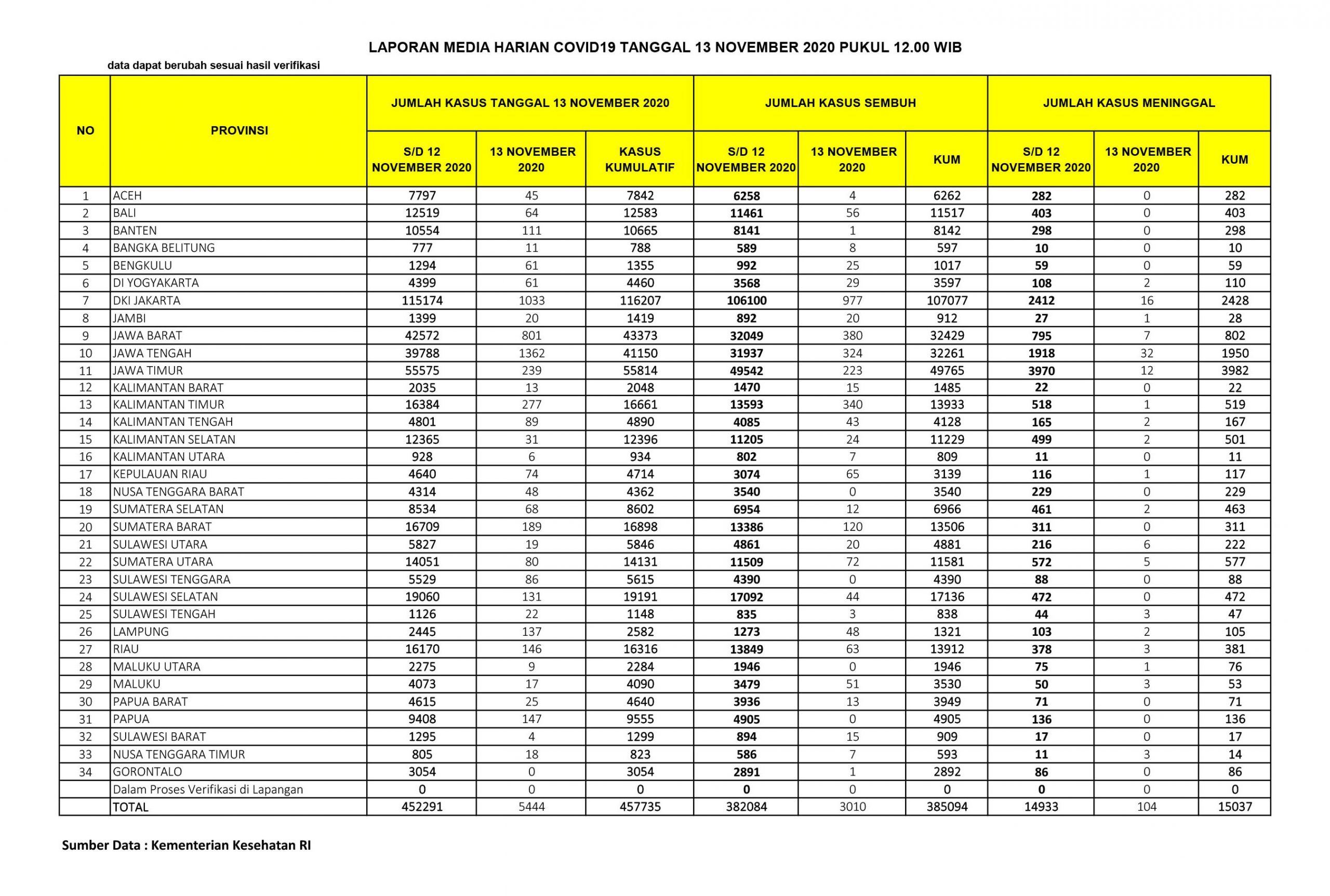
(Vibizmedia – Nasional)  Berikut adalah update angka akumulatif jumlah  kasus yang telah dinyatakan sembuh total dari Covid-19 dari seluruh Indonesia hingga tanggal 13 November 2020.

Sedangkan jumlah pasien yang dinyatakan sudah sembuh dan diijinkan pulang terus bertambah dan semakin banyak, dari total  382.084 orang yang diberitakan kemarin, bertambah 3.010 orang menjadi 385.094  orang. Maka bagi yang telah dinyatakan sembuh, jika kemarin bertambah 3.102 orang, hari ini  bertambah 3.010 orang.

Angka total 385.094   menunjukkan bahwa persentase jumlah kasus sembuh cukup tinggi dan makin meningkat,  yaitu  sejumlah 84,13% jika dibandingkan kasus positif akumulatif sejumlah  457.735.

Beberapa provinsi yang melaporkan cukup banyak kasus yang sembuh yaitu:  DKI Jakarta (977),   Jawa Barat (380),    Kalimantan Timur (340),  Jawa Tengah (324), Jawa Timur (223),  Sumatera Barat (120),  Sumatera Utara (72), Kepulauan Riau (65), Riau (63),   Bali (56), Maluku (51), Lampung (48), Sulawesi Selatan (44), Kalimantan Tengah (43).

Breaking News Covid-19 di Indonesia 13 November 2020: Bertambah 5.444 Total Positif 457.735

Berikut adalah data COVID-19 di seluruh provinsi pada tanggal 13 November 2020:

LEAVE A REPLY

Please enter your comment!
Please enter your name here