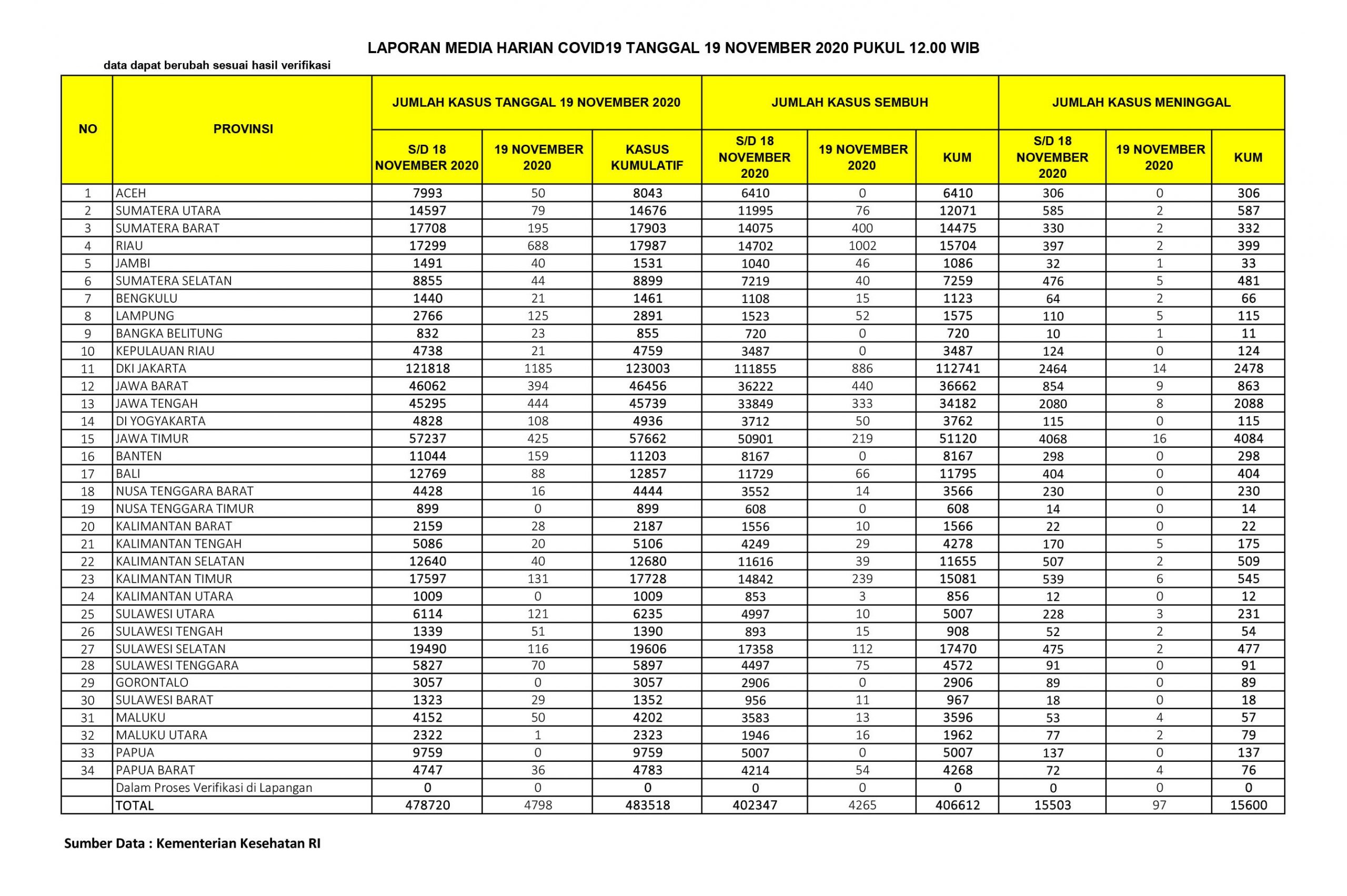
(Vibizmedia – Nasional) Berikut adalah update angka akumulatif jumlah kasus yang telah dinyatakan sembuh total dari Covid-19 dari seluruh Indonesia hingga tanggal 19 November 2020.
Sedangkan jumlah pasien yang dinyatakan sudah sembuh dan diijinkan pulang terus bertambah dan semakin banyak, dari total 402.347 orang yang diberitakan kemarin, bertambah 4.265 orang menjadi 406.612 orang. Maka bagi yang telah dinyatakan sembuh, jika kemarin bertambah 3.711 orang, hari ini bertambah 4.265 orang.
Angka total 406.612 menunjukkan bahwa persentase jumlah kasus sembuh cukup tinggi dan makin meningkat, yaitu sejumlah 84,04% jika dibandingkan kasus positif akumulatif sejumlah 483.518.
Beberapa provinsi yang melaporkan cukup banyak kasus yang sembuh yaitu: Riau (1002), DKI Jakarta (886), Jawa Barat (440), Sumatera Barat (400), Jawa Tengah (333), Kalimantan Timur (239), Jawa Timur (219), Sulawesi Selatan (112), Sumatera Utara (76), Sulawesi Tenggara (75), Bali (66), , Lampung (52), DI Yogyakarta (50), Jambi (46), Sumatera Selatan (40).
Breaking News Covid-19 di Indonesia 19 November 2020: Bertambah 4.798 Total Positif 483.518
Berikut adalah data COVID-19 di seluruh provinsi pada tanggal 19 November 2020:










