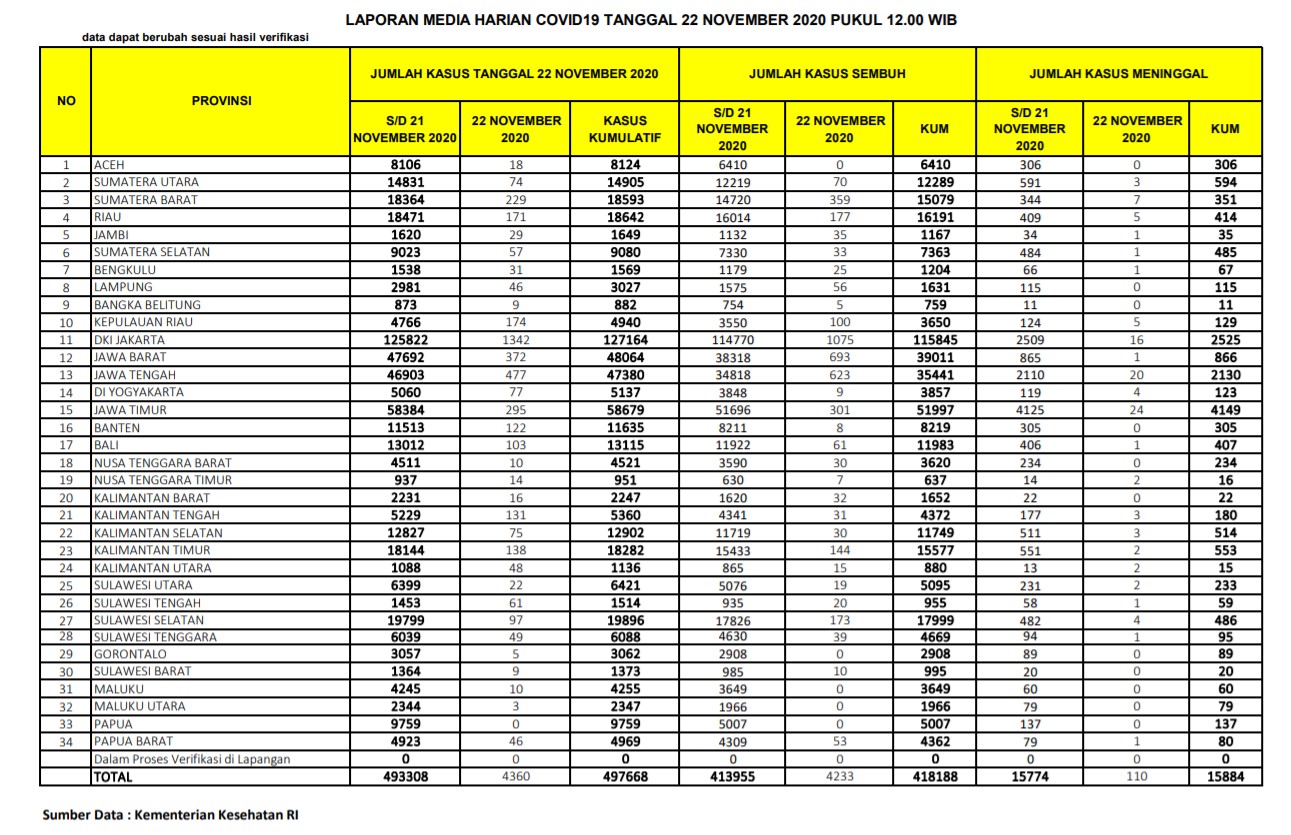
(Vibizmedia – Nasional) Berikut adalah update angka akumulatif jumlah kasus yang telah dinyatakan sembuh total dari Covid-19 dari seluruh Indonesia hingga tanggal 21 November 2020.
Sedangkan jumlah pasien yang dinyatakan sudah sembuh dan diijinkan pulang terus bertambah dan semakin banyak, dari total 413.955 orang yang diberitakan kemarin, bertambah 4.233 orang menjadi 418.188 orang. Maka bagi yang telah dinyatakan sembuh, jika kemarin bertambah 3.403 orang, hari ini bertambah 4.233 orang.
Angka total 418.188 menunjukkan bahwa persentase jumlah kasus sembuh cukup tinggi dan makin meningkat, yaitu sejumlah 84,02% jika dibandingkan kasus positif akumulatif sejumlah 497.668.
Beberapa provinsi yang melaporkan cukup banyak kasus yang sembuh yaitu: DKI Jakarta (1075), Jawa Barat (693), Jawa Tengah (623), Sumatera Barat (359), Jawa Timur (301), Sulawesi Selatan (173), Kalimantan Timur (144), Kepulauan Riau (100), Sumatera Utara (70), Bali (61), Lampung (56).
Breaking News Covid-19 di Indonesia 22 November 2020: Bertambah 4.360 Total Positif 497.668
Berikut adalah data COVID-19 di seluruh provinsi pada tanggal 22 November 2020:










