Makin Meningkat Kasus Sembuh COVID-19 di Indonesia 25 November 2020: Persentasenya Capai 83,97%

0
978

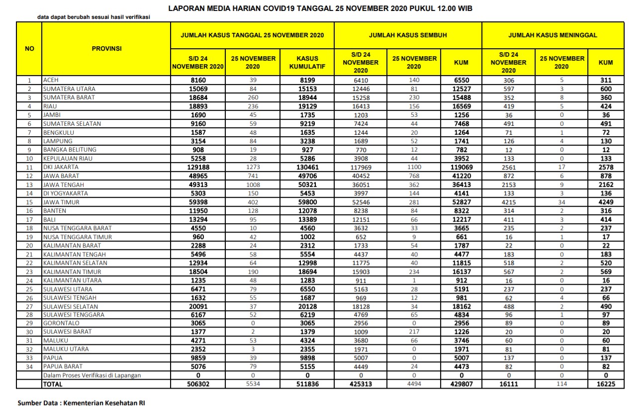
(Vibizmedia – Nasional)  Berikut adalah update angka akumulatif jumlah  kasus yang telah dinyatakan sembuh total dari Covid-19 dari seluruh Indonesia hingga tanggal 25 November 2020.

Sedangkan jumlah pasien yang dinyatakan sudah sembuh dan diijinkan pulang terus bertambah dan semakin banyak, dari total 425.313 orang yang diberitakan kemarin, bertambah 4.494 orang menjadi   429.807 orang. Maka bagi yang telah dinyatakan sembuh, jika kemarin bertambah 2.927 orang, hari ini  bertambah 4.494  orang.

Angka total 429.807 menunjukkan bahwa persentase jumlah kasus sembuh cukup tinggi dan makin meningkat,  yaitu  sejumlah 83,97% jika dibandingkan kasus positif akumulatif sejumlah 511.836.

Beberapa provinsi yang melaporkan cukup banyak kasus yang sembuh yaitu: DKI Jakarta (1100),  Jawa Barat (768),  Jawa Tengah (362),  Jawa Timur (281),  Kalimantan Timur (234),  Sumatera Barat (230), Sulawesi Barat (217), Riau (156), DI Yogyakarta (144), Aceh (140), Banten (84),  Sumatera Utara (81), Bali (66), Maluku (66), Gorontalo (65),   Kalimantan Barat (54), Jambi (53), Lampung (52), Kepulauan Riau (44),   Sumatera Selatan (44), Kalimantan Tengah (40), Kalimantan Selatan (40).

Breaking News Covid-19 di Indonesia 25 November 2020: Bertambah 5.534 Total Positif 511.836

Berikut adalah data COVID-19 di seluruh provinsi pada tanggal 25 November 2020:

LEAVE A REPLY

Please enter your comment!
Please enter your name here