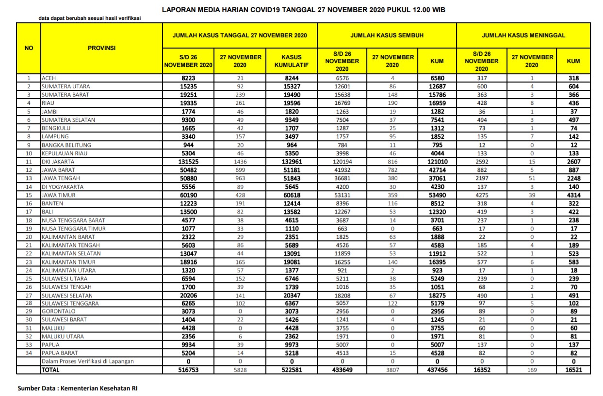
(Vibizmedia – Nasional) Berikut adalah update angka akumulatif jumlah kasus yang telah dinyatakan sembuh total dari Covid-19 dari seluruh Indonesia hingga tanggal 27 November 2020.
Sedangkan jumlah pasien yang dinyatakan sudah sembuh dan diijinkan pulang terus bertambah dan semakin banyak, dari total 433.649 orang yang diberitakan kemarin, bertambah 3.807 orang menjadi 437.456 orang. Maka bagi yang telah dinyatakan sembuh, jika kemarin bertambah 3.842 orang, hari ini bertambah 3.807 orang.
Angka total 437.456 menunjukkan bahwa persentase jumlah kasus sembuh cukup tinggi dan makin meningkat, yaitu sejumlah 83,71% jika dibandingkan kasus positif akumulatif sejumlah 522.581.
Beberapa provinsi yang melaporkan cukup banyak kasus yang sembuh yaitu: DKI Jakarta (816), Jawa Barat (782), Jawa Tengah (380), Jawa Timur (359), Riau (190), Sumatera Barat (148), Kalimantan Timur (140), Sulawesi Tenggara (122), Banten (116), Lampung (95), Sumatera Utara (86), Sulawesi Selatan (67), Kalimantan Barat (63), Kalimantan Tengah (57), Kalimantan Selatan (53), Bali (53), Kepulauan Riau (46).
Breaking News Covid-19 di Indonesia 27 November 2020: Bertambah 5.828 Total Positif 522.581
Berikut adalah data COVID-19 di seluruh provinsi pada tanggal 27 November 2020:










