Makin Meningkat Kasus Sembuh COVID-19 di Indonesia 29 November 2020: Persentasenya Capai 83,44%

0
734

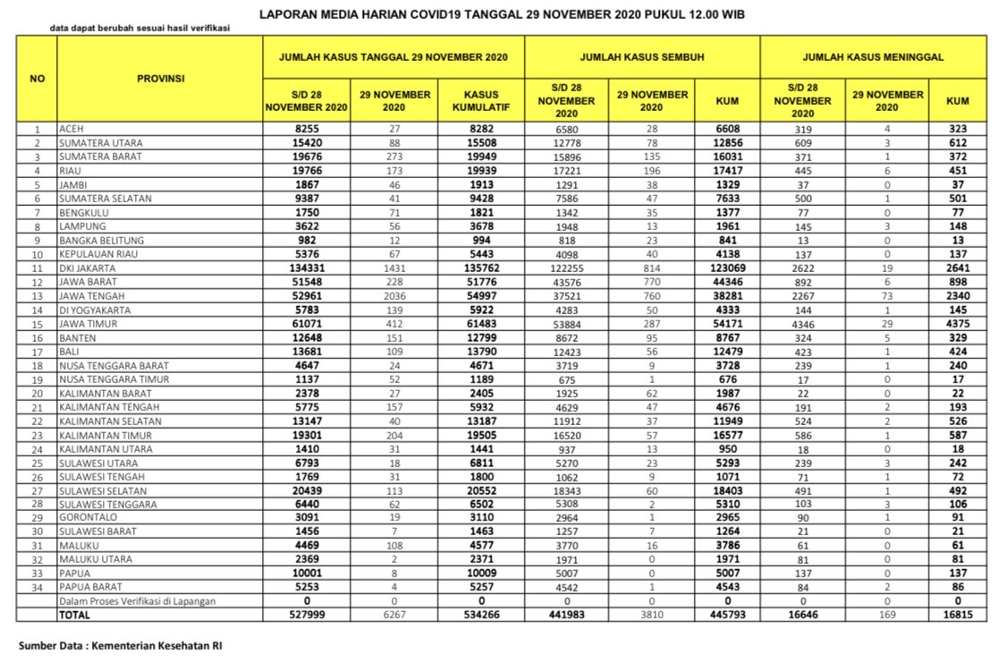
(Vibizmedia – Nasional)  Berikut adalah update angka akumulatif jumlah  kasus yang telah dinyatakan sembuh total dari Covid-19 dari seluruh Indonesia hingga tanggal 29 November 2020.

Sedangkan jumlah pasien yang dinyatakan sudah sembuh dan diijinkan pulang terus bertambah dan semakin banyak, dari total 441.983   orang yang diberitakan kemarin, bertambah 3.810 orang menjadi   445.793  orang. Maka bagi yang telah dinyatakan sembuh, jika kemarin bertambah 4.527 orang, hari ini  bertambah 3.810 orang.

Angka total 445.793 menunjukkan bahwa persentase jumlah kasus sembuh cukup tinggi dan makin meningkat,  yaitu  sejumlah 83,44% jika dibandingkan kasus positif akumulatif sejumlah 534.266

Beberapa provinsi yang melaporkan cukup banyak kasus yang sembuh yaitu: DKI Jakarta (814),  Jawa Barat (770),  Jawa Tengah (760), Jawa Timur (287), Riau (196), Sumatera Barat (135), Banten (95), Sumatera Utara (78),   Kalimantan Barat (62),  Sulawesi Selatan (60),  Kalimantan Timur (57),  Bali (56), DI Yogyakarta (50), Sumatera Selatan (47), Kalimantan Tengah (47), Kepulauan Riau (40).

Breaking News Covid-19 di Indonesia 29 November 2020: Bertambah 6.267 Total Positif 534.266

Berikut adalah data COVID-19 di seluruh provinsi pada tanggal 29 November 2020:

LEAVE A REPLY

Please enter your comment!
Please enter your name here