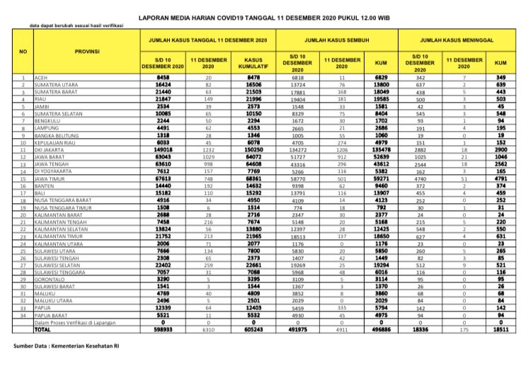
(Vibizmedia – Nasional) Berikut adalah update angka akumulatif jumlah kasus yang telah dinyatakan sembuh total dari Covid-19 dari seluruh Indonesia hingga tanggal 11 Desember 2020.
Jumlah pasien yang dinyatakan sudah sembuh dan diijinkan pulang terus bertambah dan semakin banyak, dari total 491.975 orang yang diberitakan kemarin, bertambah 4.911 orang menjadi 496.886 orang. Maka bagi yang telah dinyatakan sembuh, jika kemarin bertambah 3.948 orang, hari ini bertambah 4.911 orang.
Angka total 496.886 menunjukkan bahwa persentase jumlah kasus sembuh cukup tinggi dan makin meningkat, yaitu sejumlah 82,09% jika dibandingkan kasus positif akumulatif sejumlah 605.243.
Beberapa provinsi yang melaporkan cukup banyak kasus yang sembuh yaitu: DKI Jakarta (1.206), Jawa Barat (912), Jawa Timur (501), Papua (335), Jawa Tengah (296), Kepulauan Riau (274), Riau (181), Sumatera Barat (168), Kalimantan Timur (137), Bali (116), DI Yogyakarta (116), Sumatera Utara (76), Sumatera Selatan (75), Banten (62), Bangka Belitung (55), Sulawesi Tenggara (48), Papua Barat (45), Sulawesi Tengah (42).
Breaking News Covid-19 di Indonesia 11 Desember 2020: Bertambah 6.310 Total Positif 605.243
Berikut adalah data COVID-19 di seluruh provinsi pada tanggal 11 Desember 2020:










