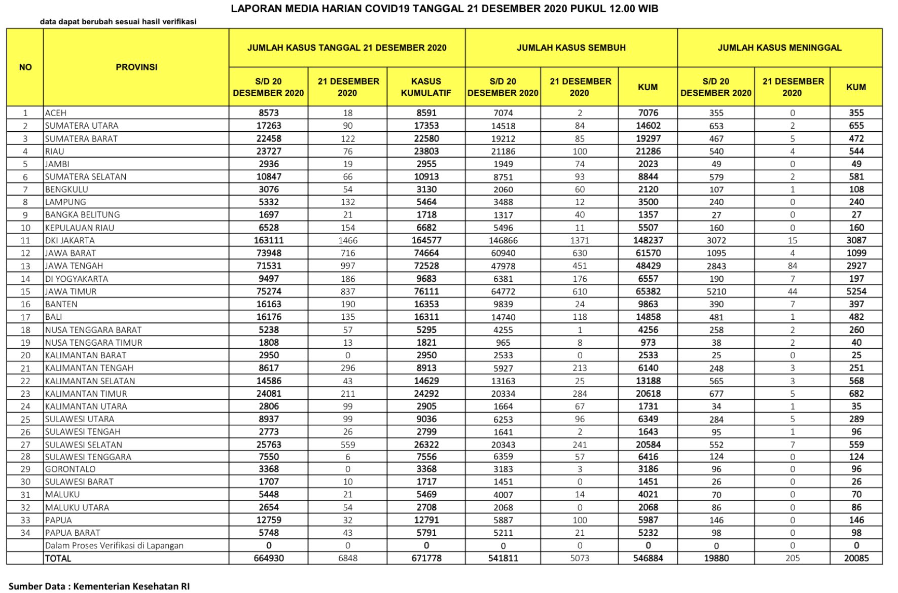
(Vibizmedia – Nasional) Berikut adalah update angka akumulatif jumlah kasus yang telah dinyatakan sembuh total dari Covid-19 dari seluruh Indonesia hingga tanggal 21 Desember 2020.
Jumlah pasien yang dinyatakan sudah sembuh dan diijinkan pulang terus bertambah dan semakin banyak, dari total 541.811 orang yang diberitakan kemarin, bertambah 5.073 orang menjadi 546.884 orang. Maka bagi yang telah dinyatakan sembuh, jika kemarin bertambah 5.551 orang, hari ini bertambah 5.073 orang.
Angka total 546.884 menunjukkan bahwa persentase jumlah kasus sembuh cukup tinggi dan makin meningkat, yaitu sejumlah 81,40% jika dibandingkan kasus positif akumulatif sejumlah 671.778.
Beberapa provinsi yang melaporkan cukup banyak kasus yang sembuh yaitu: DKI Jakarta (1.371), Jawa Barat (630), Jawa Timur (610), Jawa Tengah (451), Kalimantan Timur (284), Sulawesi Selatan (241), Kalimantan Tengah (213), DI Yogyakarta (176), Sulawesi Selatan (141), Bali (118), Riau (100), Papua (100), Sulawesi Utara (96), Sumatera Selatan (93), Sumatera Barat (85), Sumatera Utara (84), Jambi (74), Kalimantan Utara (67), Bengkulu (60), Sulawesi Tenggara (57), Bangka Belitung (40).
Breaking News Covid-19 di Indonesia 21 Desember 2020: Bertambah 6.848 Total Positif 671.778
Berikut adalah data COVID-19 di seluruh provinsi pada tanggal 21 Desember 2020:










