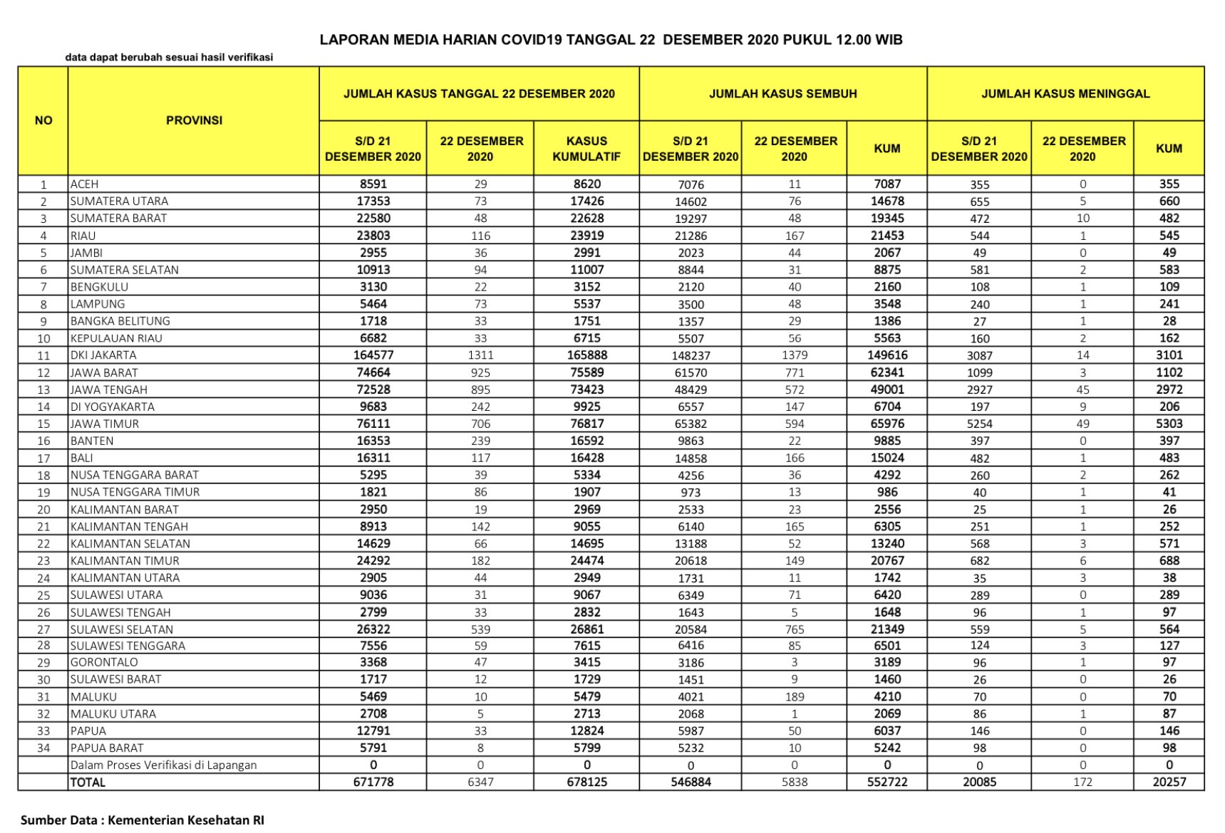
(Vibizmedia – Nasional) Berikut adalah update angka akumulatif jumlah kasus yang telah dinyatakan sembuh total dari Covid-19 dari seluruh Indonesia hingga tanggal 22 Desember 2020.
Jumlah pasien yang dinyatakan sudah sembuh dan diijinkan pulang terus bertambah dan semakin banyak, dari total 546.884 orang yang diberitakan kemarin, bertambah 5.838 orang menjadi 552.722 orang. Maka bagi yang telah dinyatakan sembuh, jika kemarin bertambah 5.073 orang, hari ini bertambah 5.838 orang.
Angka total 552.722 menunjukkan bahwa persentase jumlah kasus sembuh cukup tinggi dan makin meningkat, yaitu sejumlah 81,50% jika dibandingkan kasus positif akumulatif sejumlah 678.125.
Beberapa provinsi yang melaporkan cukup banyak kasus yang sembuh yaitu: DKI Jakarta (1.379), Jawa Barat (771), Sulawesi Selatan (765), Jawa Timur (594), Jawa Tengah (572), Maluku (189), Riau (167), Bali (166), Kalimantan Tengah (165), Kalimantan Timur (149), DI Yogyakarta (147), Sulawesi Tenggara (85), Sumatera Utara (76), Sulawesi Utara (71), Kepulauan Riau (56), Papua (50), Kalimantan Selatan (52), Lampung dan Sumatera Barat (48), Jambi (44), Bengkulu (40).
Breaking News Covid-19 di Indonesia 22 Desember 2020: Bertambah 6.347 Total Positif 678.125
Berikut adalah data COVID-19 di seluruh provinsi pada tanggal 22 Desember 2020:










