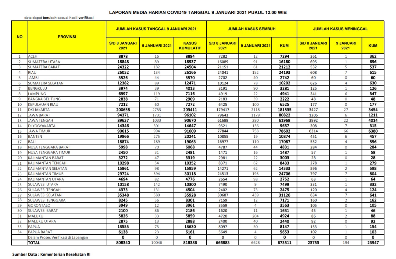
(Vibizmedia – Nasional) Berikut adalah update angka akumulatif jumlah kasus yang telah dinyatakan sembuh total dari Covid-19 dari seluruh Indonesia hingga tanggal 9 Januari 2021.
Jumlah pasien yang dinyatakan sudah sembuh dan diijinkan pulang terus bertambah dan semakin banyak, dari total 666.883 orang yang diberitakan kemarin, bertambah 6.628 orang menjadi 673.511 orang. Maka bagi yang telah dinyatakan sembuh, jika kemarin bertambah 7.446 orang, hari ini bertambah 6.628 orang.
Angka total 673.511 menunjukkan bahwa persentase jumlah kasus sembuh cukup tinggi dan makin meningkat, yaitu sejumlah 82,29% jika dibandingkan kasus positif akumulatif sejumlah 818.386.
Berikut adalah data COVID-19 di seluruh provinsi pada tanggal 9 Januari 2021:
Makin Meningkat Kasus Sembuh COVID-19 di Indonesia 9 Januari 2021: Persentasenya Capai 82,29%










