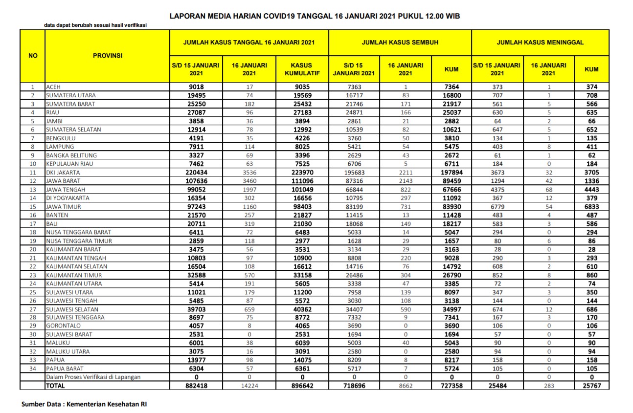
(Vibizmedia – Nasional) Berikut adalah angka akumulatif perkembangan data kasus Covid-19 dari seluruh Indonesia hingga tanggal 16 Januari 2021.
Mari kita melihat penambahannya sebagai berikut:
Dari total 882.418 kasus positif terinfeksi Covid-19 yang diberitakan kemarin, maka hari ini bertambah sebanyak 14.224 kasus menjadi 896.642 kasus positif akumulatif. Telah terjadi kenaikan dalam pertambahan kasus dari 12.818 kasus kemarin menjadi 14.224 kasus.
Angka pertambahan kasus positif tertinggi adalah DKI Jakarta (3.536) diikuti Jawa Barat (3.460), Jawa Tengah (1.997) dan Jawa Timur (1.160).
Namun persentase jumlah kasus sembuh cukup tinggi dan makin meningkat, yaitu sejumlah 81,12%. Jumlah kasus sembuh dari total 718.696 orang yang diberitakan kemarin, bertambah 8.662 orang menjadi 727.358 orang
Angka kesembuhan tertinggi adalah DKI Jakarta (2.211), Jawa Barat (2.143), Jawa Tengah (822) dan Jawa Timur (731).
Untuk pertambahan kasus meninggal, maka dari total 25.484 orang yang diberitakan meninggal kemarin, bertambah sebanyak 283 orang menjadi 25.767 orang. Dengan demikian jumlah kasus meninggal ada kenaikan, jika kemarin tercatat 238 orang maka jumlah yang meninggal pada hari ini tercatat 283 orang.
Berikut perincian penambahan kasus positif per provinsi 16 Januari 2021 :
– Jakarta 3.536
– Jabar 3.460
– Jateng 1.997
– Jatim 1.160
– Sulsel 659
– Kaltim 570
– Bali 319
– DIY 302
– Banten 257
– Kaltara 191
– Sumbar 182
– Sulut 179
– NTT 118
– Lampung 114
– Kalsel 108
– Papua 98
– Kalteng 97
– Riau 96
– Sulteng 87
– Sumsel 78
– Sultra 75
– Sumut 74
– NTB 72
– Babel 69
– Kepri 63
– Papbar 57
– Kalbar 56
– Maluku 38
– Jambi 36
– Bengkulu 35
– Aceh 17
– Gorontalo 8
– Malut 16
Terdaftar provinsi yang tingkat penambahannya di bawah 10 kasus positif ada 2 provinsi : Gorontalo, Sulawesi Barat
Daftar provinsi yang tercatat tidak ada penambahan pasien terkonfirmasi positif Covid-19 ada 1 provinsi : Sulawesi Barat
Pada tanggal 16 Januari 2021 kasus aktif sejumlah 143.517 (bertambah 5.279) dibandingkan kemarin sejumlah 138.238 (bertambah 5.091) sedangkan jumlah kasus suspek sejumlah 69.414 adalah kenaikan dibanding kemarin sejumlah 66.573. Selain itu ada 63.300 spesimen, yang adalah penurunan karena kemarin sejumlah 72.957 spesimen.
Akumulasi data tersebut diambil dari hasil uji spesimen sebanyak 8.269.701 spesimen yang dilakukan menggunakan metode Polymerase Chain Reaction (PCR) dan TCM (Test Cepat Molekuler) dari sejumlah 5.521.058 orang yang ditest. Dan ini berarti secara harian maka ada penambahan orang yang ditest sejumlah 45.358 dengan 31,36% positive rate, jika dibandingkan kemarin sejumlah 49.466 dengan 25,91% positive rate.
Sementara itu rata-rata harian dalam 7 hari terakhir adalah sebagai berikut: Jumlah spesimen: 61.817 dibanding kemarin sejumlah 60.925 sedangkan jumlah orang yang diperiksa: 41.162 dibanding kemarin sejumlah 40.327. Sedangkan kasus positif sejumlah 11.179 (tingkat positivitas 27,16%), dibanding kemarin 10.583 (tingkat positivitas 26,24%),. Positive rate keseluruhan: 16,24% (896.642 kasus / 5.521.058 yang diperiksa), dibandingkan kemarin 16,12% (882.418 kasus / 5.475.700 yang diperiksa).
Data tersebut diambil dari 34 provinsi. Hingga saat ini seluruh provinsi sudah terdampak Covid-19.
Berikut adalah data COVID-19 di seluruh provinsi pada tanggal 16 Januari 2021:










